您好,欢迎访问成都怡康特生物科技有限公司
公司动态
您的位置:首页>公司动态

公司动态

联系我们

陕西佰瑞斯生物科技有限公司

联系人:王经理
手 机:18700885303
电 话:18700885303
地 址:商务中心:陕西省西安市长安区郭杜街办居安路899号;实验中心:陕西省杨凌区众创田园创新创业园

文献解读:热带森林养分有效性和化学计量调控微生物对土壤固碳的影响

发布时间:2023-12-21人气:272

图片

文章链接:https://doi.org/10.1016/j.soilbio.2023.109186

摘要:

土壤有机碳(SOC)的持久性主要由微生物代谢活动驱动;然而,微生物对有机碳固存的介导如何受到土壤养分状况的影响尚不清楚。在本研究中,作者将控制实验和自然环境梯度相结合,将养分状况不同的培养基质(甘蔗土和沙子)装填进孔径为38 μm的网袋(防止植物根系的进入,但允许真菌菌丝体和细菌的侵入)放置在不同的海拔梯度进行原位培养。通过模拟不同的养分供应状态和环境条件,研究微生物的活体生物量、微生物胞外酶、微生物胞外多聚体和残体等微生物来源碳的合成和积累特征及其对土壤有机碳固持的影响。结果表明,肥沃土壤的微生物群落组成中革兰氏阴性菌占主导地位,较高的养分有效性与微生物残体的产生和积累有关,通过促进微生物生物量的周转,从而促进肥沃土壤有机碳的积累。这一过程与肥沃土壤的磷有效性和碳、磷获取酶活性呈负相关。土壤有机碳积累与氮素有效性、化学计量学以及水分含量呈正相关。然而,在养分缺乏的情况下,更多的资源被优先分配给耐胁迫真菌和革兰氏阳性菌,用于微生物生物量维持、养分获取和环境适应,进一步加剧了有机碳的消耗,导致有机碳的损失。研究结果不仅深化了微生物调控热带森林土壤有机碳周转途径的机制性理解,也可为提升养分输入不平衡情景下土壤碳循环动态的可预测性提供重要依据。    

研究背景:

植物源碳和微生物源碳的输入和损失之间的平衡决定了土壤有机碳(SOC)的形成和积累。传统上,植物顽固性结构化合物如木质素和多酚被认为是稳定有机碳库的主要贡献者,而微生物被认为与有机碳的矿化和损失有关。尽管微生物生物量在有机碳库中所占比例很小,并且对环境变化敏感,但细胞生成、种群生长、增殖和死亡的迭代过程可能导致微生物残体碳不成比例的沉积和长期保留。因此,了解土壤微生物衍生碳(包括微生物生物量和残体碳)的动态,特别是沿着环境梯度的动态,有助于理解和预测土壤有机碳的短期和长期积累,以应对未来的全球变化。

然而,迄今为止,微生物源碳在有机碳固存中的作用尚未达成共识,这不仅是因为它们与有机碳积累的关系不同,而且还因为它们在养分有效性和其他环境因素的相互作用下产生和积累能力不同。此外,温度和水分含量等其他环境因素对微生物群落结构和微生物源碳的产生和积累也有不同的影响,这进一步阻碍了我们对微生物生物量和残体碳库之间的营养获取和环境适应及其对有机碳积累的贡献的理解。

为解决上述问题,作者进行了为期一年的现场原位培养实验,将网袋(38 μm,允许细菌定植和真菌菌丝渗透,但阻止根系渗透)装入肥沃的甘蔗土和贫瘠的沙子(图1),并沿海拔梯度放置在9个地点,这些地点具有不同的环境条件(例如,温度随海拔的升高而降低)。通过模拟不同的养分供应状态和环境条件,研究微生物的活体生物量、微生物胞外酶、微生物胞外多聚体和残体等微生物来源碳的合成和积累特征及其对土壤有机碳固持的影响。    

图片

图1 试验布置

主要研究结果:

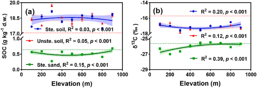
1、SOC的变化及其潜在的预测因子

经过一年的田间孵育,灭菌或未灭菌的肥沃土壤中有机碳含量没有变化(图2)。此外,肥沃土壤有机碳含量呈二次曲线(向下凹形),并在中等海拔高度(特别是当海拔300 m时)趋于峰值,(图3)。相比之下,无菌的沙土中有机碳呈现相反的二次曲线(向上凹形),低含量主要出现在中等海拔(尽管最低值出现在300 m处),田间孵育导致有机碳消耗(低于绿色基线)。在中高海拔地区无菌沙土中,13C丰度的升高也表明了旧碳消耗的主导过程,而不是新的碳输入,从而导致13C富集。

图片    

图2 主成分分析(PCA)对有机碳和养分的负荷和评分图

          

图片

图3 不同孵育处理下有机碳含量和δ13C值的变化

注:Ste. soil, sterilized fertile soil treatment; Unste. soil, unsterilized fertile soil treatment; Ste. sand, sterilized infertile sand treatment.

VPA结果表明,微生物源碳是肥沃土壤有机碳变化的最大解释因子,其次是营养状况(分别为21.0%和14.0%,图4),而贫瘠沙地有机碳变化主要由营养状况和微生物源碳的相互作用解释,其次是营养状况(分别为45.0%和9.0%)。其中,随机森林分析结果表明,土壤有机碳含量与氨基酸糖、速效磷、AP活性、革兰氏阴性菌生物量、土壤温度密切相关。    

图片

图4 通过方差分配分析和随机森林分析对土壤或沙土有机碳积累的潜在预测因子

          

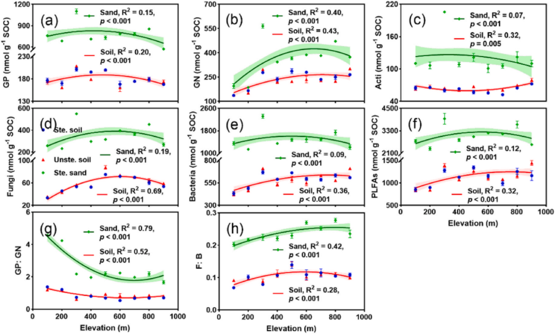
2、微生物生物量和群落结构的变化

经过一年的田间孵育,贫瘠土壤中SOC标准化的微生物生物量含量显著高于肥沃土壤(图5)。这说明微生物吸收了贫瘠土壤中的有机质并将其积累到生物量中,从而对有机碳的积累做出了比肥沃土壤更大的贡献。肥沃土壤中SOC标准化的微生物生物量表现为二次型模式,并倾向于在中等海拔处达到峰值,但放线菌除外。同样,无菌沙土的微生物生物量也呈现出二次型模式,较高的含量主要出现在中等海拔高度(尽管最大值出现在300 m处)。此外,无菌沙土中较高的GP:GN和F:B表明,随着土壤肥力的降低,微生物群落结构从革兰氏阴性菌为主转变为真菌和革兰氏阳性菌为主。    

图片

图5 微生物生物量和群落结构在海拔梯度上的变化

3、微生物残体碳的变化

经过一年的田间孵育,无论是在肥沃的土壤中还是在贫瘠的沙地中,微生物残体碳及其对SOC库的贡献都有所增加。此外,微生物残体碳的积累速度明显快于整个SOC库(图6)。

               图片图片图片

图6 微生物胞外酶、微生物胞外多聚体和残体的含量变化

肥沃土壤中GRSPs、氨基酸糖和胞外酶的 SOC 归一化含量和绝对含量呈现出二次方模式,在中等海拔高度时数值较高(图7)。与肥沃土壤相比,贫瘠沙土中的 GRSPs、氨基酸糖和 AP 活性表现出相似的海拔模式,但 MurN 含量、BG 和 NAG 活性随海拔升高而降低。肥沃土壤中土壤微生物残余碳(胞外酶、氨基酸糖和 GRSPs)、SOC和微生物生物量归一化氨基酸糖的绝对量明显高于贫瘠沙土。    

图片

图7 微生物残碳在海拔梯度上的变化

4、微生物对固碳的影响

肥沃土壤的有机碳积累与氨基糖、微生物生物量和胞外酶活性直接相关(图8)。其中,肥沃土壤有机碳积累与氨基糖呈显著正相关。同样,肥沃土壤中有机碳的积累也与土壤含水量、土壤pH和碳磷比呈正相关,总效应分别为0.34、0.20和0.38。。相反,肥沃土壤的有机碳积累与碳和磷获取酶活性呈负相关,肥沃土壤中有机碳的积累也与速效磷呈负相关。土壤有机碳积累与氮素有效性呈显著正相关(总效应为0.53)、养分化学计量学(C:N和C:P比值,直接效应和总效应分别为0.84和1.04)和水分含量(总效应为0.53)。    

图片

图8 利用偏最小二乘路径模型(PLS-PM)对肥沃土壤和贫瘠沙土有机碳积累进行分析

结论

图片


(1)土壤有机碳的积累具有显著的背景依赖性,并受到养分可获得性调控的微生物群落结构和微生物的资源分配策略影响;    

(2)在养分供应充足条件下,以革兰氏阴性菌为主导的土壤微生物群落优先将资源分配给微生物残体的合成,微生物生物量的快速周转和微生物残体的快速生成促进了土壤有机碳的积累,该过程与土壤磷的有效性和微生物碳磷获取酶活性呈负相关;

(3)在养分匮乏的条件下,土壤微生物群落倾向于优先将资源分配给抗逆性强的真菌和革兰氏阳性菌,用于微生物活体生物量的维持、胞外酶的合成以获取养分,合成更多的胞外多聚体以适应环境,减少对微生物残体合成的资源投入,不利于土壤有机碳的积累,该过程与氮的有效性和化学计量比(C:N和C:P)以及土壤水分含量显著正相关。    

标签:

在线客服
服务热线

服务热线

18700885303

微信咨询
陕西佰瑞斯生物科技有限公司
返回顶部