您好,欢迎访问成都怡康特生物科技有限公司
公司动态
您的位置:首页>公司动态

公司动态

联系我们

陕西佰瑞斯生物科技有限公司

联系人:王经理
手 机:18700885303
电 话:18700885303
地 址:商务中心:陕西省西安市长安区郭杜街办居安路899号;实验中心:陕西省杨凌区众创田园创新创业园

文献解读:耕作促使土壤细菌群落在微团聚体中均匀化

发布时间:2023-12-21人气:229

图片

文章链接:https://doi.org/10.1016/j.soilbio.2023.109181  

摘要:

土壤团聚体通过微团聚体的形成和有机矿物结合,保护土壤有机质,促进土壤碳持久性。耕作是对耕地土壤普遍存在的干扰,它破坏了土壤的聚集,从而影响了微生物资源的有效性、土壤微生境条件和微生物的相互作用。作者在美国威斯康星州南部进行了两次长期耕作与免耕试验,代表了两种不同的粉壤土(Alfiol和Mollisol),调查了耕作如何影响土壤微团聚体组分(53–250μm)的细菌群落组成,特别是原状土壤中的游离(free)微团聚体组分和大团聚体中的封闭(occluded)微团聚体组分。利用16SrRNA基因扩增子测序,通过将土壤环境中团聚体大小分布和碳含量等变化与土壤环境的组成变化和生态群落组合模式联系起来,表征耕作对微团聚体细菌群落的影响。

耕作使土壤细菌群落趋于均一化,这可以通过增加地块内和地块间的组成相似性来量化,而且群落的聚集越来越受到耕作均一化分散的影响。游离微团聚体部分和封闭微团聚体部分的细菌群落之间不存在重大差异,这突出表明了在温带一年生作物系统中,土壤微团聚体是如何在这些组分之间进行轻易转换,在这种系统中,土壤环境受到季节性剧烈变化的影响,而耕作又加剧了这种变化。通过确定有影响的群落组装过程并分析微团聚物组分中的群落,我们加深了对微生物对土壤扰动的反应的理解,从而了解了耕作等扰动影响土壤碳持久性的潜在机制。           

研究背景:

农业耕作破坏了稳定大聚集体的细根和真菌菌丝,减少了团聚体对土壤有机质(SOM)的物理保护,同时潜在地增加了土壤有机碳(SOC)的微生物矿化。更好地了解与混合扰动相关的聚集变化与微生物群落组成和有机碳持久性相关的生态因素,将填补土壤微生物生态学的关键知识空白。这些关系可能与土壤微团聚体(直径<250μm)的高度保护微环境有关,它们比大团聚体(直径250-2000μm)更稳定,并由于营养和氧气限制而进一步抑制微生物活性。这些保护SOM免受微生物分解的微栖息地的微生物丰度也会高;据估计,70%的土壤细菌生活在微团聚体中,尽管微团聚体部分可能占耕地土壤质量的30-50%。总体而言,微生物介导的有机碳持续性与微聚集体中消耗碳的微生物活动之间的平衡机制(即“微生物热点”)尚未得到很好的理解。

微团聚体在块状土壤中是不受保护的,在大团聚体中是封闭的。由于与耕作相关的大团聚体不稳定,保护性大团聚体结构内封闭微团聚体发育的可能性降低。此外,随着大团聚体的不稳定,现有的封闭微团聚体变得更自由地与块状土壤相连,增加资源扩散(例如氧气和细胞外酶)和分解者压力。通过这些机制,耕作与SOM含量、SOM停留时间和有机碳含量的降低、与微生物生物量、颗粒有机物质(POM)和微生物坏死团块积累有关。最近的一项荟萃分析表明,与自由微团聚体和其他土壤组分相比,被封闭的微团聚体组分优先积累有机碳的速率更高。一项研究发现,与传统耕作系统相比,免耕中有机碳含量增加的90%以上归因于不同粘土矿物土壤中被阻断的微团聚体部分,而另一项研究发现,在美国转向免耕后,被阻断的微团聚体部分贡献了49~112%的有机碳增加。综上所述,这表明与自由微团聚体相比,封闭微团聚体中有机碳的持久性更高。    

在为数不多的将高通量测序应用于聚集体组分的研究中,自由微聚集体组分比大聚集体组分支持不同且更多样化的细菌群落。一项研究专门分析了自由微团聚体和封闭微团聚体的群落,发现两者具有相似的群落组成,但表明,共养细菌与自由微团聚体生活在一起,而寡养细菌则是封闭微团聚体的特征。耕作对土壤微环境(如团聚体大小和孔隙度)的影响,以及由此产生的资源(如氧气、水、生物量)的再分配也表明耕作会改变土壤微生物群落的组成和功能。由于底物和氧气可用性较低,耕作驱动的总体大小减少可能会选择更多的贫营养群落,尽管有些人发现快速生长的富营养化竞争对手在耕作或干扰下主导土壤群落。这些结果表明,与耕作相关的对大团聚体形成和周转的影响(以及因此被封闭的微团聚体)延伸到微生物群落组成。因此,了解特定管理实践(如耕作)下微生物群落的变化,对于改善有机碳持久性的预测至关重要。

耕作使土壤及其颗粒分散,并通过改变土壤结构影响非生物土壤条件和生物相互作用。分散描述了生物体在空间中的随机运动和建立,可能通过物理干扰或孔隙水的大量流动在土壤中发生。均匀化扩散增加了群落之间的组成相似性,而扩散限制增加了群落之间的组成差异,这可能会导致群落组成的随机物种变化——称为“漂移”。选择是指由生物因素和非生物因素决定的确定性或不确定性过程。但是,目前这些方法尚未应用于耕作对群落聚集的影响,尤其是在微团聚体中。

本研究拟从土壤团聚体的角度更好地了解细菌群落如何受到耕作的影响。从美国威斯康星州南部的两次长期耕作与免耕定位试验中采集了土壤样品,使用16S rRNA基因扩增子测序,将土壤特性与耕作驱动的土壤中细菌群落组成、多样性和群落组装过程的差异,以及块状土壤、自由微团聚体和封闭微团聚体部分的差异联系起来。本研究除了期望耕作对土壤有机碳和团聚体减少的标准反应外,还假设自由微团聚体和封闭微团聚体组分支持不同的细菌群落,并表现出耕作处理的差异。研究结果将有助于更好地了解微团聚体环境中的微生物群落组成和组合,将提高大家对有机碳持久性机制的理解,从而有助于气候适应能力、生态系统服务和作物生产力。          

材料与方法:

土壤样品取自美国威斯康星州南部(Arlington和Lancaster)的长期耕作与免耕试验基地,代表了两种不同的粉壤土(Alfiol和Mollisol)。每个处理取样三个地块,每个地块收集5个完整的岩心,每个处理总共收集15个岩心。土芯直径为7.9 cm,均匀分布在直径为48 cm的圆周内;相邻岩心之间的距离约为15cm。如图1所示,对顶部5cm的土壤进行分析,以确定最大耕作扰动强度下的目标土壤。为了在相对较小的空间尺度上评估群落组成和群落聚集的变异性,对每个岩心进行了单独处理。每个新鲜土壤岩心的顶部5厘米被轻轻通过一个2毫米的筛子(称为“块状”土壤)。然后,80克的新鲜土壤进行湿筛,分离大团聚体(250-2000μm)、游离微团聚体(53-250μm)和粉砂+粘土粒径(<53μm)。大团聚体的20g(湿)亚样进一步分为封闭的微团聚体(53~250μm)、封闭的粉砂+粘土级(<53 μm)和封闭的POM +粗砂级(250~2000μm)。然后土壤样品存于离心管中用于16SrRNA基因扩增子测序(图1)。    

图片

图1 团聚体分级图

主要研究结果:

1、耕作对土壤团聚体的影响

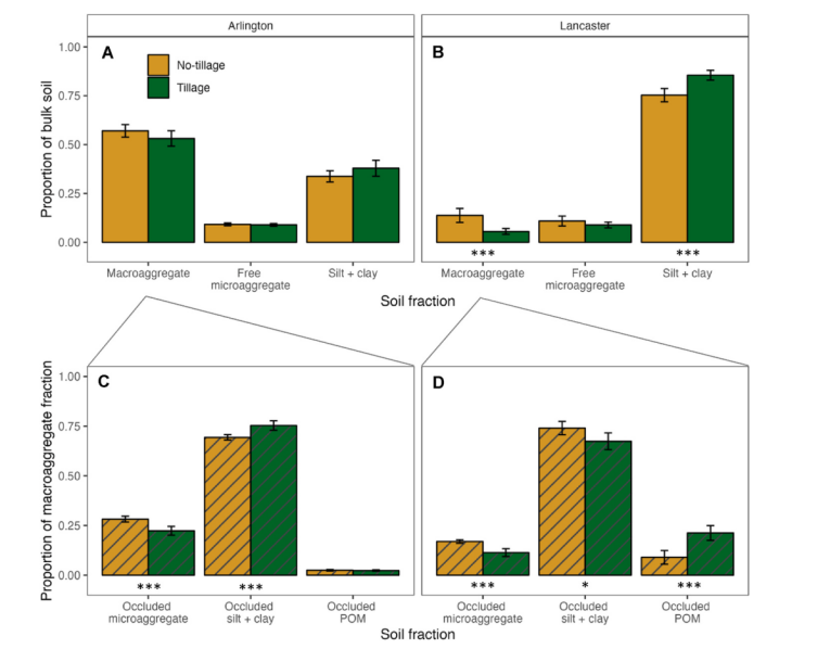
在Arlington,超过60%的块状土壤属于水稳性团聚体组分(大团聚体加微团聚体),其中超过50%的土壤属于大团聚体组分(图2)。由于耕作处理,土壤在大团聚体、自由微团聚体或粉土+粘土组分中的比例没有显著差异,但在大团聚体组分中,土壤在被封闭的微团聚体组分中的比例显著降低,从免耕的28%增加到有耕的22%,封闭的粉砂+粘土比例也相应增加。

在Lancaster,土壤大部分是非团聚体,在免耕和耕作处理中,25%和14%的大块土壤分别处于水稳性团聚体组分中。特别是耕作处理的土壤在大团聚体组分中的比例明显较低,为6%,而免耕处理为14%。此外,粉土+粘土的比例也显著升高。在大团聚体组分中,与免耕相比,耕作后被封闭的微团聚体组分和被封闭的粉土+粘土组分的比例均显著降低,免耕时被封闭的微团聚体组分中大团聚体土壤的比例为17%,耕作后降至11%。封闭的POM也显著增加,从免耕处理的9%增加到有耕处理的21%。    

图片

图2 在干土基础上,两个地区块状土壤中团聚体的分布

2、耕作减少了土壤总碳

耕作降低了两个地点所有测量组分的总碳含量。在Arlington,两种处理下自由微团聚体和封闭微团聚体组分的C浓度均大于块状土壤和大团聚体组分,且仅免耕时封闭微团聚体组分的C浓度均大于自由微团聚体组分。在Lancaster,仅在免耕处理下,自由和封闭微团聚体组分的C浓度均高于大团聚体组分和散装土壤中的C浓度,免耕处理下自由微团聚体组分的C浓度高于耕作(图3)。

两个地点的土壤碳氮比均受到耕作处理和土壤分数的显著影响。在Arlington,免耕的C:N比大于耕作,自由和封闭微团聚体组分的C:N比大于大团聚体组分或块状土壤。在Lancaster,耕作方式与土壤组分存在显著的交互作用,耕作方式显著提高了大团聚体组分的C:N比率。在Arlington,耕作降低了50%的呼吸作用,耕作对Lancaster的呼吸没有显著影响。免耕样地在两个试验点的土壤水分平均为23%,而耕样地的土壤水分平均为19-20%。    

图片

图3 每个土壤组分的碳含量,以每单位块状土壤为基础

3、耕作对细菌群落组成有影响

两个地点的细菌群落组成均受耕作处理的显著影响(图4)。与免耕相比,在Arlington和Lancaster,耕作使样品群落组成的分散度分别降低了14%和6%,这是通过地块间平均距离到空间中位数来量化的。与免耕相比,免耕使地块内的样品分散度分别降低了13%和5%(图5)。不同耕作方式下,Lancaster地区各土芯内自由微团聚体和封闭微团聚体群落的分布无显著差异,但随耕作方式的增加,分布呈下降趋势。由于两处地点的细菌丰富度估计值都没有显著差异,因此耕作导致β多样性的减少显然不是由α多样性的减少引起的。

土壤组分对两个试验点细菌群落组成的影响均显著(图4)。在Lancaster,两两检验表明,只有块状土与自由微团聚体组分之间、块状土与封闭微团聚体组分之间存在显著差异,而在Arlington,土壤组分之间的两两检验无显著差异。在处理尺度和样地尺度上,群落组成分布均匀(即β多样性相似)。不同耕作方式与土壤组分对群落组成均无交互作用。    

图片

图4 通过耕作处理,两个地区的hellinger转化的群落相对丰富度数据的Bray-Curtis差异的主坐标分析

图片

图5 样本群落组成的离散度

4、加权平均值预测16S rRNA基因拷贝数随耕作而增加

Arlington,随着耕作,加权平均预测16S rRNA基因拷贝数增加了7%。团聚体组分也显著,耕作方式与组分的交互作用显著。在耕作处理下,封闭微团聚体组分中,16S基因拷贝数的加权平均预测值低于块状土或自由微团聚体组分,而在免耕处理下,16S基因拷贝数的加权平均预测值在各组分中相似。在Lancaster,随着耕作,加权平均预测16S基因拷贝数显著增加10%,组分效应和互作效应无显著影响。    

图片

图6 加权平均值预测16S rRNA基因拷贝数


5、均匀化扩散的影响随耕作方式的增加而增加

用于评估有影响力的群落聚集过程的基于OTU分类的方法表明,在Arlington的地块内和地块间比较中,均匀选择在处理和组分之间具有约14%的相对影响,地块间比较显示耕作下均匀选择显著减少(图7)。均匀化扩散的影响在耕作方式下显著增加,在地块内比较中,块状土壤的影响从25%增加到46%。

在Lancaster,在同质选择(~15%)、同质分散(~40%)和非支配(~45%)的影响方面,图内比较显示出与Arlington相似的趋势。与Arlington不同的是,在地块内尺度上,耕作方式对均匀化扩散的影响不显著,而在块状土壤中,均匀选择的相对影响从10%显著增加到15%。在样地间比较中,耕作对块状和封闭微团聚体分数均质化分散的影响显著增加,而均匀选择对自由微团聚体分数的影响略有降低,对封闭微团聚体分数的影响略有增加。    

图片

图7 耕作处理对块状土壤、游离微团聚体和封闭微团聚体组分中群落聚集过程的相对影响

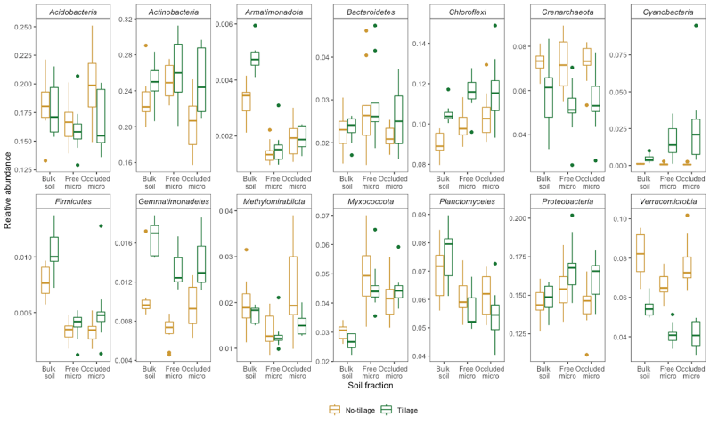
最常见的门是ActinobacteriaAcidobacteriaProteobacteria,在两种耕作方式下,它们共占每个位点所有读数的60%左右。在Arlington,在块状土壤、自由微团聚体和封闭微团聚体组分中门水平响应普遍一致,通过耕作导致ActinobacteriaArmatimonadotaChloroflexiCyanobacteriaFirmicutesGemmatimonadetesMethylomirabilota的相对丰度显著增加,而AcidobacteriaMyxococcotaProteobacteriaVerrucomicrobia的相对丰度显著降低。在Lancaster,耕作导致ChloroflexiCyanobacteriaGemmatimonadetes的相对丰度显著增加,CrenarchaeotaVerrucomicrobia的相对丰度显著降低。基于丰度差异,还确定了免耕和免耕处理相关的关键类群(图8和图9)。此外,在Lancaster分别有8个和10个分类群富集自由微团聚体和封闭微团聚体,其中大部分是在耕作处理下,而在Arlington没有类群符合这些参数(图10)。    

图片

图8 Arlington地区代表性门的相对丰度

图片

图9 Lancaster地区代表性门的相对丰度

图片

图10 Lancaster地区微团聚体组分中正差异丰度(富集)的分类群

              

结论:

该研究既证明了耕作使土壤细菌群落均质化,并将这种干扰与均质化扩散的生态过程联系起来,同时也支持了先前的结论,即耕作破坏了土壤表面的聚集并减少了碳。

自由和封闭的微团聚体的细菌群落高度相似,表明微团聚体可能很容易在这些操作上定义的土壤组分之间转移。耕作可能会加剧温带一年生种植系统的季节性变化特征(如作物衰老、冻融和干湿循环),这些变化共同保证了大团聚体的强度和寿命,而在大团聚体中,封闭的微团聚体形成并保护了土壤碳。

本研究的结果重申了被封闭的微团聚体组分对土壤C持续性的重要性,同时,当先前被封闭的组分在大团聚体周转量中成为自由微团聚体组分的一部分时,这种被封闭的微团聚体C的周转率会增加。这强调了微团聚体中的微生境如何在整个土壤中发展和退化,与微生物活动相一致,在斑块土壤环境中形成由资源可用性驱动的孤立热点。   

标签:

在线客服
服务热线

服务热线

18700885303

微信咨询
陕西佰瑞斯生物科技有限公司
返回顶部