联系人:王经理
手 机:18700885303
电 话:18700885303
地 址:商务中心:陕西省西安市长安区郭杜街办居安路899号;实验中心:陕西省杨凌区众创田园创新创业园

Mosses stimulate soil carbon and nitrogen accumulation during vegetation
restoration in a humid subtropical area
亚热带湿润植被恢复过程中,苔藓促进土壤碳氮积累
摘要:
在植被恢复的前10年,亚热带地区苔藓形成了近1 cm厚的地表层,但其对地下微生物群落和土壤性质以及相关土壤碳(C)和氮(N)积累的影响尚不清楚。在亚热带气候条件下,对3种植被类型(人工林、牧草草地、混合人工林和牧草草地)4种处理(裸土[BS]、裸土移栽苔藓、苔覆土[MS]和苔覆土除苔)下的土壤C和N变量、土壤微生物群落和土壤含水量(SWC)、pH进行了测定。以BS和MS为参照,分析了原生苔藓、移栽苔藓和去除苔藓的效果。处理1年后,苔藓移栽分别增加了0-5 cm和2-5 cm土层的NO3−-N和NH4+-N。相反,苔藓去除降低了0-2 cm土层的SOC和TN,降低了0-5 cm土层的SWC。与BS和MS相比,原生苔藓的存在、苔藓的移栽和去除均不同程度地降低了土壤微生物、细菌和真菌的总生物量,并改变了土壤微生物群落组成(真菌与细菌的比例、革兰氏阳性菌与革兰氏阴性菌的比例)。苔藓的特性(生物量、碳氮浓度、碳氮比和饱和吸水率)以及受其调控的SWC、土壤微生物生物量和群落组成均影响土壤碳氮。本研究强调了苔藓在植被恢复过程中促进土壤碳氮积累的重要作用。
研究背景:
农田植被恢复对土壤碳(C)和氮(N)积累是有效的,因为农田恢复可以改变土壤微生物群落和土壤性质等因素,从而影响土壤C和N的循环和积累。苔藓在陆地生态系统中无处不在,在潮湿的栖息地形成厚垫,在旱地,与土壤颗粒结合形成薄苔藓结皮。在较少的耕作干扰和遮蔽的微生境条件下,植被恢复有利于苔藓的定植。尽管藓类已被证实在C和N循环中发挥重要作用,对植被恢复过程中苔藓对土壤C和N积累影响的认识有限,限制了苔藓在生态恢复中的应用。
苔藓是一种无根的非维管植物,在土壤碳氮循环中发挥着特殊的作用。首先,苔藓通过光合作用、生物固氮和大气沉降或灰尘中的营养物质保留向土壤提供碳和氮输入。其次,苔藓通过影响土壤碳氮转化过程影响土壤碳氮有效性。第三,苔藓凋落物的分解速率一般低于维管植物凋落物,导致土壤有机质积累。由于苔藓参与了土壤碳氮循环的许多过程,因此,关于苔藓对土壤碳氮积累的影响存在许多不确定性。
迄今为止,苔藓对土壤碳氮循环的影响主要报道在北极、寒带和干旱区。研究表明,不同生态系统中,苔藓对土壤C和N积累的影响因其生长形式以及对地下环境和土壤微生物群落的调节而异。然而,对亚热带藓类植物对土壤碳氮积累的影响知之甚少。西南喀斯特生态系统为亚热带,由于集约耕作,部分喀斯特生态系统经历了严重的石漠化,但由于“退耕还林”工程,目前该地区大部分农田已转为单作人工林和牧草或乔牧草间作。苔藓与植被的恢复共存,覆盖了该地区23-75%的土壤表面。以往在该亚热带喀斯特地区的研究表明,维管植物的恢复改变了土壤微生物生物量、微生物群落组成和土壤性质,从而影响了土壤C和N的积累。然而,在亚热带地区,将苔藓与土壤微生物群落和土壤性质联系起来的研究,特别是关于土壤C和N积累的影响的研究很少。
本文研究了植被恢复过程中苔藓对土壤碳氮积累的影响。在亚热带喀斯特地区3种典型植被恢复类型(人工林、牧草草地和混合草甸)中采用苔藓移植和移除方法,分析了苔藓和土壤性质以及土壤微生物群落。作者假设:苔藓的存在有利于土壤C和N的积累;苔藓通过影响土壤微生物生物量、微生物群落组成和土壤性质来促进土壤C和N的积累。
材料方法:
试验地概况:本研究在广西壮族自治区环江县古州流域(24°53′-24°55′N,107°56′-107°58′E)进行。流域为典型的喀斯特峰簇洼地,随着2002年“退耕还林”工程的实施,洼地部分农田改作人工林(P)、牧草草地(G)和混合人工林与牧草草地(PG)。该洼地苔藓层厚度约为1 cm。
试验设计:以亚热带喀斯特地区3种典型植被类型为研究对象,在雨季前进行了苔藓移植去除试验。随机选取各植被类型对应的样地一式三份,每个样地共划分4个子样地其中2个子样地为裸土(BS),2个子样地为苔藓覆盖土壤(MS)。1个BS子图和1个MS子图保持不变。然后将混合种的苔藓从一个MS子样中人工移除,移植到另一个BS子样中,从而对应于苔藓去除处理(MS-M)和苔藓移植处理(BS + M)。在这个人工操作过程中,我们将附着在苔藓上的有机物质和土壤分开,以确保只移除和移植苔藓,并且不移除前几毫米的土壤。简而言之,每个地块进行了四种处理:BS、BS + M、MS和MS-M(图1)。
样品采集:在MS和BS + M子样地随机选取3个原生苔藓样方和3个移栽苔藓样方。在每个样地0 ~ 2 cm和2 ~ 5 cm土壤深度上分4个处理(BS、BS + M、MS和MS-M),去除凋落物和苔藓,采集土壤样品。从土壤样本中去除可见的植物根系、有机残留物和石头,然后将其充分混合并分成三部分。第一份用于微生物磷脂脂肪酸(PLFA)分析;第二份为新鲜土壤,用于土壤有效碳氮浓度和土壤水分分析;三是风干,分析土壤有机碳(SOC)、全氮(TN)和pH。

图1 牧草草地上苔藓移植和移除过程的例子。裸地(a)、移植苔藓的裸地(b)、被苔藓覆盖的土壤(c)和被苔藓覆盖但移除苔藓的土壤(d)。
主要研究结果:
1、 土壤C和N浓度
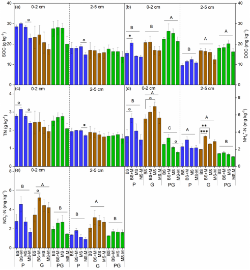
苔藓处理和植被类型都会影响DOC、NH4+-N 和NO3--N(表1,图2)。在 0-5 cm土层中,人工林的DOC比混交林和牧草地低,牧草地的NH4+-N和NO3--N比单一种植和间作人工林高。除2-5 cm土层外,人工林和牧草地的NH4+-N没有差异。苔藓移植分别增加了0-5 cm和2-5 cm土层的NH4+-N和NO3--N(图3)。NH4+-N还受到植被类型和苔藓处理的交互作用的影响(表1)。与裸地相比,原生苔藓和移栽苔藓的存在对牧草草地NH4+-N的增加最为积极。此外,去除苔藓降低了0-2 cm土层的有机碳和全氮,只有在0-5 cm土层的人工林中,去除苔藓降低了有机碳和全氮。
表1 植被类型和苔藓处理对土壤C和N浓度、土壤性质和土壤微生物生物量的影响


图2 每种植被类型四种处理下的土壤性质

图3 不同深度苔藓处理对土壤性质的影响
1、 土壤微生物生物量和群落组成
苔藓处理而非植被类型对土壤微生物生物量和组成影响较大(表1)。苔藓移植降低了0-5 cm土层微生物、细菌、G-细菌和真菌的总生物量,并分别降低了0-2 cm和2-5 cm土层F:B比以及G+细菌和放线菌的生物量(图4和图5)。与裸地相比,原生苔藓的存在降低了0-2 cm土层的G-细菌和真菌生物量以及F:B比,但增加了G+:G-比。去除苔藓降低了2-5 cm土层微生物、细菌、G+细菌、G-细菌和真菌的总生物量,但增加了G+:G-比值。

图4 苔藓处理对各土层微生物的影响

图5 四种处理下各土壤深度的革兰氏阳性菌、革兰氏阴性菌和放线菌生物量
1、 苔藓和土壤特性
单作和间作人工林的原生苔藓和移栽苔藓的N浓度均高于牧草草地,而牧草草地移栽苔藓的C:N比高于单作和间作人工林(表2)。原生苔藓和移栽苔藓的其他特性在不同植被类型间没有差异。植被类型影响SWC和pH值(表1)。在0-5 cm土层,牧草草地的SWC和pH值分别低于人工林、单作和间作人工林。苔藓处理影响SWC,但不影响pH值,去除苔藓会降低0-5 cm土层的SWC(图6)。
表2 原生苔藓和移栽苔藓在三种植被类型下的特性


图6 苔藓处理对土壤含水量和pH的影响
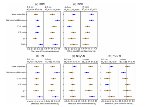
1、 土壤碳氮的预测因子
两层土壤有机碳和全氮均与土壤微生物生物量和SWC呈正相关(图7)。表层土壤有机碳也与土壤微生物组成(G+:G−比和F:B比)呈正相关。DOC与两层土壤苔藓性状呈显著正相关;DOC与表层G+:G−比值呈负相关,而与亚表层土壤微生物生物量呈正相关。NH4+-N和NO3−-N与表层苔藓性质呈正相关,与亚表层土壤微生物生物量呈负相关,NO3−-N与表层F:B比呈负相关,而NH4+-N与亚表层土壤SWC呈正相关。

图7 各土层土壤碳氮浓度的预测因子
结论:
与裸地和被苔藓覆盖的土壤相比,苔藓移栽增加了土壤有效氮(表层NO3−-N和亚表层NH4+-N),而苔藓移栽降低了表层有机碳和全氮,降低了表层土壤水分。原生苔藓的存在、苔藓的移栽和去除均不同程度地降低了土壤微生物生物量,并影响了土壤微生物组成(F:B比和G+:G−比)。此外,受苔藓影响的苔藓性质以及土壤水分和微生物特征对土壤C和N的影响也很显著。
综上,在亚热带湿润地区植被恢复过程中,苔藓的存在有助于土壤C和N的积累。
Copyright © 2025 成都生物科技有限公司 All Rights Reserved. 蜀ICP备2025146839号 XML地图
技术支持:网站模板