联系人:王经理
手 机:18700885303
电 话:18700885303
地 址:商务中心:陕西省西安市长安区郭杜街办居安路899号;实验中心:陕西省杨凌区众创田园创新创业园

摘要:
微生物对土壤重金属的修复已得到广泛的研究。然而,由于营养缺乏、效率低以及与本地微生物的竞争,生物修复效率在实际应用中受到限制。本研究将含有枯草芽孢杆菌(Bacillus subtilis)、蜡样芽孢杆菌(Bacillus cereus)和柠檬酸杆菌(Citrobacter sp.)的微生物剂(MA)固定在生物炭上,制备了一种生物炭基微生物剂(BMA),用于土壤中U和Cd的修复。结果表明,添加BMA后,土壤有机质、阳离子交换容量、荧光素二乙酸酯水解酶活性和脱氢酶活性分别提高了58.7%、38.2%、42.9%和51.1%。BMA改良土壤U和Cd的有效性显著降低了67.4%和54.2%,从而减少了它们在蔬菜中的积累。BMA极大地促进了蔬菜的生长。此外,BMA显著改变了根际土壤微生物群落的结构和功能。网络分析表明,BMA的添加增加了微生物群落的紧密性和复杂性。重要的是,添加BMA后,共生网络内生态位和微生物物种的相容性增强。这些发现为抑制蔬菜重金属积累和促进蔬菜生长提供了一种有效策略。
研究背景:
铀(U)开采活动是土壤环境中其他潜在有毒重金属污染的重要来源。矿区附近农田人类和动物对重金属污染作物的食用量增加,可能造成健康问题。为保障粮食安全,有必要开发控制作物重金属积累的新技术。原位修复是降低重金属毒性环境风险的一种有前景的策略。微生物可以通过共沉淀、吸附或改变重金属组分来固定重金属。一些促进植物生长和重金属固定化的功能微生物在重金属污染农业土壤的原位修复中具有很大的潜力。研究发现,Bacillus mucitaginosus、Bacillus subtilis、Citrobacter sp.、Bacillus cereus和Bacillus thuringiensis可以通过产生1-氨基环丙烷-1-羧酸(ACC)脱酰胺酶、吲哚乙酸、铁载体等促进植物生长。同时,在矿山附近土壤中还发现B. subtilis(枯草芽孢杆菌)、Citrobacter sp.(柠檬酸杆菌)和B. cereus(蜡样芽孢杆菌),这3种菌株被用于重金属的固定化。因此,多菌种微生物联合可能比单菌种接种剂具有更强的耐受性和适应性。通过前期的研究,作者构建了对U和Cd的吸附效果更好的菌群(30%枯草芽孢杆菌+ 20%柠檬酸杆菌+ 30%蜡样芽孢杆菌)。虽然微生物修复具有广阔的应用前景,但在实际应用中存在一些效率限制,包括营养缺乏、效率低、与本地微生物竞争等。
微生物的固定化是维持微生物活性和保护细菌免受不利环境因素影响的有效技术之一。生物炭具有多孔结构和对微生物的亲和力,是一种理想的微生物载体。反过来,微生物会影响生物炭的稳定性。微生物介导的矿化是土壤中生物炭分解的主要途径。生物炭中的不稳定组分首先被微生物分解,以提高微生物的活性。同时也有利于接种物的定殖。此外,研究报告称,与植物根系相关的微生物为植物生长和健康提供了重要的生长环境,尤其是在金属污染土壤中。因此,本研究将重点研究根际土壤微生物群落在生物炭基微生物剂(BMA)对作物生长和重金属有效性的影响中的作用。通过微生物网络研究微生物在促进植物生长方面的重要作用。
本研究的主要目的是:(a)在生物炭上固定化微生物剂(MA)制备BMA,并分析BMA对土壤性质和有效态U、Cd含量的影响;(b)研究BMA对蔬菜生长和U、Cd在蔬菜体内生物积累的影响;(c)探讨BMA对根际土壤细菌和真菌群落结构变化的影响;(d)探讨BMA修复土壤中微生物群落共生网络模式、群落间网络模式和潜在功能。
材料方法:
以30%枯草芽孢杆菌+ 20%柠檬酸杆菌+ 30%蜡样芽孢杆菌为混悬液制备MA;将100ml MA悬浮液与10g 玉米秸秆生物炭(BC)混合制备BMA。研究其对三种不同蔬菜生长、金属有效性和土壤微生物群落的影响。
主要研究结果:
土壤U和Cd的有效性
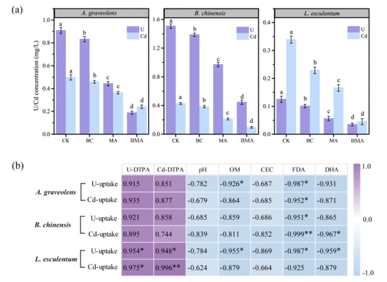
与对照相比,BC、MA和BMA显著降低了DTPA-U/Cd(p < 0.05)。与BC和MA相比,BMA处理中DTPA-U/Cd的含量较低。与对照相比,BMA处理的DTPA-U/Cd含量分别降低了67.4%和54.2%。(图1)。

图1不同处理对土壤DTPA-U/Cd的影响
土壤改良剂对土壤性质和酶活性的影响
与对照相比,添加BC和BMA可显著提高土壤CEC(p < 0.05),分别提高61.3%和38.2%,表明3种土壤改良剂对重金属的固定化具有潜力(表1)。BC和BMA处理显著提高了土壤OM,分别提高了64.5%和58.7%。FDA和DHA活性通常被用来指示土壤中微生物的活性。与对照相比,BC和BMA分别显著提高了35.1%和42.9%的FDA活性(p < 0.05)。添加了BC和BMA的土壤DHA活性分别提高了56.2%和51.1%。
表1添加BC、MA和BMA对土壤理化性质和酶活性的影响

对蔬菜生长和金属生物利用度的影响
通过盆栽试验比较了BC、MA和BMA对3种蔬菜(芹菜、白菜和番茄)中U和Cd含量的影响(图2)。在3种土壤改良剂中,BMA对3种蔬菜中U和Cd积累的抑制作用最强。与对照相比,BMA处理U浓度分别减少了79.3%、70.4%和72.1%,Cd浓度分别减少了51.1%、77.5%和77.8%。土壤中添加BC、MA和BMA时,三种蔬菜的可食用组织生物量与CK相比显著增加(图3)。BMA处理的可食组织生物量最大,分别增加了89.9%、85.1%和57.3%。

图3添加BC、MA和BMA对蔬菜生长的影响
根际微生物群落结构和组成
BMA处理的微生物群落丰富度和多样性均优于其他处理,体现了其优势。BMA的添加增加了蔬菜根际土壤中硝酸螺旋菌、亚硝酸单胞菌、溶杆菌和芽孢杆菌等4种生态有益细菌的相对丰度。本研究的另一个值得注意的发现是,BMA的添加降低了蔬菜根际土壤中两种植物病原真菌镰刀菌和链格孢菌的相对丰度。这些结果表明,BMA可能通过调节根际微生态特性来增强促进蔬菜生长的作用。与单独使用MA改良剂相比,BMA在抑制蔬菜对U、Cd的积累,促进蔬菜生长方面表现出更好的效果。
构建了细菌和真菌共现网络。四种共现网络的拓扑特性在如原文中所示。BMA修复后,细菌和真菌共生网络的许多拓扑性质发生了明显变化。BMA处理的细菌和真菌共生网络的节点数、边缘数、平均度和平均聚类系数均高于CK处理,表明BMA增加了根际土壤微生物群落的紧密性和复杂性。添加BMA后,酸性细菌、双生单胞菌和硝酸螺旋菌的比例显著增加。这些微生物可能在影响作物生长和重金属有效性方面发挥核心作用。无论是真菌网络还是细菌网络,BMA处理的关键节点均多于CK处理。证实了BMA的应用可以提高微生物网络的复杂性和连通性。在两个微生物跨领域网络中,细菌OTU比真菌OTUs定义了更多的Keystone节点。
结论:
本研究旨在探讨生物炭与微生物复合修复U-和Cd污染土壤的可能性和机制。结果表明,生物炭作为载体有利于外源微生物剂的定殖。生物炭介导的固定化和生物炭增强的微生物修复导致速效U和Cd含量降低,从而减少了它们在蔬菜中的积累。此外,生物炭基微生物剂通过改善土壤性质、调节生态有益菌和植物病原真菌丰度促进蔬菜生长。
总体而言,生物炭基微生物菌剂不仅可以有效地降低重金属从土壤向作物转移的风险,而且可以通过改善土壤性质和调节微生物群落结构来促进植物生长。此外,通过固定化不同的功能微生物菌剂,它的实际应用可以扩展到各种污染的土壤场地。
Copyright © 2025 成都生物科技有限公司 All Rights Reserved. 蜀ICP备2025146839号 XML地图
技术支持:网站模板