联系人:王经理
手 机:18700885303
电 话:18700885303
地 址:商务中心:陕西省西安市长安区郭杜街办居安路899号;实验中心:陕西省杨凌区众创田园创新创业园

摘要:
微生物是陆地生态系统土壤磷循环的驱动因素,然而,土壤微生物在富磷土壤的初级演替过程中调节磷循环的作用仍不确定。本研究考察了青藏高原东部130年冰川时间序列上细菌群落结构(多样性和组成)及其功能潜力(磷循环功能基因的绝对丰度)对土壤磷循环的影响。细菌群落结构比磷循环基因在时间序列上更能预测土壤磷含量。冰川退缩后,细菌多样性的增加、种间相互作用的改变以及参与土壤磷矿化的物种的丰富,显著增强了无机磷的溶解作用和有机磷的矿化作用,从而提高了土壤磷的有效性。尽管84%的磷循环基因与有机磷矿化有关,但这些基因与土壤有机碳的关系比与有机磷的关系更密切。因此,细菌的碳需求可能决定了土壤磷的周转,表明有机质分解过程在富磷高寒土壤中起主导作用。此外,细菌共生网络和分类群-基因-磷网络的复杂性在后期显著降低,表明细菌群落在驱动土壤磷随演替循环中的主导地位下降。研究结果表明,具有复杂群落结构的细菌在富磷土壤初级演替早期具有显著的生物地球化学P循环潜力。

图表摘要
研究背景:
在气候变暖的背景下,高寒地区裸露地表的增加为生态系统的建立和演替提供了平台。磷(P)是新陈代谢必需的营养物质,缺磷会限制生态系统生产力,损害陆地碳固存。不同于碳(C)和氮(N)可以通过生物过程轻易获得,磷进入自然生态系统主要源于土壤的缓慢风化,使磷成为初级生产力和生态演替的最终限制养分。在演替的早期阶段,微生物群落在驱动磷生物地球化学循环中起着至关重要的作用,因为与更成熟的生态系统相比,它们具有更高的促进有机质矿化和无机磷溶解的能力。在新暴露的冰川前期,这些微生物群落可以通过利用冰川下存在的低浓度有机物来维持其代谢活动,从而决定了土壤磷的周转。微生物群落对土壤磷动态的影响是由微生物群落组成和功能势的变化介导的。然而,在初级演替的早期阶段,微生物群落如何以及在多大程度上启动土壤磷循环尚不清楚,值得深入研究。
微生物编码的功能基因调控多种磷代谢途径,驱动土壤磷生物地球化学循环。编码酶分泌(如磷酸酶、植酸酶和C - P分解酶)和有机阴离子释放的基因分别直接调节有机P (PO)的矿化和无机P (Pi)的溶解。参与土壤PO矿化的最常见基因是phoD基因,该基因编码碱性磷酸酶,具有较高的有机磷矿化能力。phn操纵子调控C - P裂解酶,目标是森林土壤中的膦酸盐化合物。此外,编码葡萄糖脱氢酶和吡喃喹啉醌合成酶的基因gcd和pqqC分别控制着土壤中无机磷酸盐的溶解,编码外多磷酸酶的ppx基因和编码多磷酸激酶的ppk3基因分别与多磷酸(polyP)的水解和生物合成有关。磷循环功能基因的丰度已越来越多地用于预测土壤磷周转的微生物潜力,因为基因丰度的变化被认为与土壤中特定的磷循环过程紧密相关。然而,裸地土壤的特点是P相对丰富,但有机质含量有限,这限制了微生物的生长和代谢,在初级演替的早期阶段,土壤中C的有效性限制了微生物的生长和代谢。因此,微生物可以矿化土壤有机质以缓解C限制,并且作为副产品,在有机质分解过程中,土壤中的生物可利用P部分可能会增加。由于微生物功能基因的组成表达和功能冗余的可能性,这将导致磷循环功能基因及其调控酶与土壤磷组分解耦。
除C限制外,土壤中C的形态和数量直接调节微生物群落的组成和多样性,碳驱动的微生物结构变化与土壤P转化密切相关。一个更活跃、更丰富、更多样化的土壤微生物群落可以促进菌根的形成,并促进更多有机酸和磷酸酶的分泌,从而增加土壤磷的有效性。同时,细菌群落组成的变化,如厚壁菌门(Firmicutes)和拟杆菌门(Bacteroidetes)等共养细菌的流行,可能会直接刺激Pi利用的潜力。此外,细菌类群之间的种间合作可以影响土壤磷组分的组成和大小,从而介导土壤磷周转的生物地球化学过程。众所周知,在初级演替过程中,土壤P组分往往更多地由PO而不是Pi主导。然而,在植被演替过程中,微生物(尤其是细菌)在富磷土壤中作为先驱殖民者驱动磷转化的途径仍然存在相当大的不确定性,包括细菌群落结构或功能潜力变化的作用问题。对这些问题的深入了解将为理解富磷土壤中微生物介导的磷循环过程提供一个新的框架,从而提升初级演替理论。
本文以青藏高原东部海螺沟冰川时间序列为研究对象,揭示了该地区细菌群落结构和磷循环功能基因的演替模式,揭示了细菌在初级演替过程中介导土壤磷循环的途径。最近的一项研究发现,在初始裸露植被和早期植被阶段,土壤中存在一定浓度的有机C,这为冰川前田的微生物群落定植和演替提供了基质。从早期物种到后期植物群落的转变深刻地改变了土壤中的微生物群落及其功能,特别是在根际环境中,微生物演替受到植物-土壤相互作用的强烈影响。此外,尽管原生矿物磷酸盐的风化速度很快,在初生演替过程中,土壤PO积累随微生物磷含量和土壤磷有效性的增加而显著增加。因此,我们假设在富磷土壤中,细菌群落的结构与土壤磷循环的关系比其功能与磷周转的关系更密切。此外,我们提出细菌在演替的早期阶段主要利用Pi组分,随后在后期过渡到利用PO化合物。因此,细菌可以在新暴露的土壤中启动土壤磷循环,但这种作用随着土壤磷的耗竭和植物演替的发展而减弱。
研究方法:
采样地点位海螺沟冰川年代序列,青藏高原东部贡嘎山东坡(图1)。沿着时间序列选择了6个演替阶段和附近一个有成熟针叶林的参考地点。阶段1和阶段2(早期)分别于2010年和1980年裸露,由共生固氮物种黄芪和沙棘定殖。第3期和第4期(中期)分别于1970年和1958年裸露,最初以马山杨树和沙棘树为主,现在以落叶树杨树和柳树为主。第5期和第6期(后期)分别于1930年和1890年裸露,最初以黄芪/沙棘树为主,后来以杨树/柳树为主,现在以针叶树冷杉和短叶杉为主。参考样地(成熟针叶林)暴露时间超过1400年,以蚕豆属植物为主。在每个演替阶段,随机选择4个10 m × 10 m的样地(间距至少10 m)。
取样是在生长季节中期进行的。测定了土壤物理化学性质、土壤酶活性、真菌和细菌群落以及磷功能基因。

图1 采样地
主要研究结果:
1、土壤理化和生化性质
在原始演替过程中,土壤条件发生了剧烈变化,主要表现为土壤养分水平的增加和磷的分布发生了显著变化(表1,图2)。SWC和pH在时间序列上发生了显著变化,分别呈现出随演替增加和减少的显著趋势。土壤有机碳浓度在第1阶段最低,其他各阶段均较高。土壤碳磷比随演替呈显著上升趋势。当地上植物以固氮(1-2阶段,早期)和落叶物种(3-4阶段,中期)为主时,TP和Pi的浓度显著高于5-6阶段(后期)。对于PO和ASP,在第1阶段后增加,在第5-6阶段稳定在较低水平,然后在参考点略有增加。
表1 海螺沟冰川前田不同演替阶段土壤关键性质特征及其优势植物种类

图2 土壤中TP、PO、Pi和ASP的浓度沿时间顺序和参考点
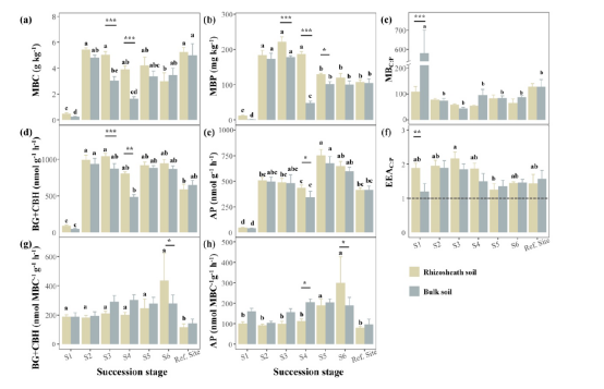
同样,包括生物量和外泌酶活性在内的土壤微生物活动也显示出明确的演替模式(表1,图3)。从第1阶段到第2阶段,MBC和MBP浓度显著增加,然后随着演替而显著降低,特别是在土体中。MBC:P和MBC:P:SoilC:P的比值在时间序列上没有差异,除了在第1阶段大块土壤中有一个较高的值。根际土壤中BG + CBH (C‐获取酶)活性在第1阶段到第2阶段显著增加,而在第4阶段大块土壤和参考点根际土壤中显著降低。AP (P‐获取酶)活性随着演替阶段的增加而增加,但参考位点的AP活性较低。EEAC:P比值在第2-4阶段被观察到相对较高。C -和P -获取酶的效率随着演替阶段的增加而增加,在第3-4阶段在普通土壤中达到峰值,在第5-6阶段在根际土壤中达到峰值,具有边际显著性,而在参考位点则较低。
图3 土壤酶活性和微生物生物量
2、微生物群落组成和共生网络
微生物群落结构,如多样性、组成和种间相互作用,在演替的各个阶段都是不同的(图4)。在根际和土体中,Chao1和Shannon指数表明的细菌多样性从第1阶段到第4阶段都有所增加,然后在以针叶树为主的更古老的冰期后期中一致降低。根据PCoA,细菌群落组成在连续阶段之间存在巨大而明显的差异。具体而言,与所有其他阶段相比,细菌群落在第1阶段(草本植物优势)表现出明显的差异性,在第2-4阶段(灌木或落叶物种优势)表现出相似性,并且在第5-7阶段(针叶树物种优势)再次表现出独特性。在根际和块状土壤中,Proteobacteria(30% ~ 48%)、Actinobacteria(2.6% ~ 11%)、Bacteroidetes(4.2% ~ 12%)、Chloroflexi(0.37% ~ 6.9%)和Gemmatimonadetes(0.29% ~ 1.3%)的相对丰度呈下降趋势,Acidobacteria ((9.2% ~ 46%)、Verrucomicrobia(0.69% ~ 3.4%)和Omnitrophicaeota(0.04% ~ 1.2%)的相对丰度呈上升趋势,而Plantomycetes(5.1% ~ 11%)、Patescibacteria(0.47% ~ 2.1%)和Nitrospirae(0.02% ~ 1.4%)的相对丰度呈抛物线型。随着演替阶段的增加,最丰富的细菌门从Proteobacteria转变为Acidobacteria。
在演替的早期、中期和后期阶段,根据不同地点的物种分组构建了细菌共生网络。在这些网络中,节点数在123 ~ 846之间,连接数在66 ~ 1174之间,其中80%为正相关(图5)。与块状土相比,根际土在网络中具有更多的节点和连线,特别是在早期和中期。在门和纲水平上,Proteobacteria、Acidobacteria和Planctomycetes以节点为主,且节点在不同分类群中的比例随演替发生显著变化。此外,由自然连通性表示的网络稳定性在后期相对于早期有所下降。如果从网络中删除随机节点,则每个阶段的连通性明显下降,范围相似。同时,无论是否移除部分节点,早期的网络连通性都大于中后期。

图4 细菌群落结构沿时间顺序和参考位点的变化

图5 演替早期、中期和后期根际和块状土壤细菌群落共现网络及稳健性分析
3、细菌P -循环功能基因
根据定量的绝对基因丰度,我们评估了P -循环基因在演替过程中的比例、丰度和组成的演替模式(图6)。在8个P -循环功能基因中,PO -矿化基因(phnK、phoD、bpp和phoX)占80%-91%,平均:84%。在根际和块状土壤中沿时间顺序均占主导地位,其次是polyP‐水解基因(ppx,7.2%-15%, 12%), Pi‐溶解基因(pqqC,0%-8.2%,4.0%),然后是polyP‐生物合成基因(ppk3, 0%-0.24%, 0.11%)。NMDS分析显示,在演替阶段中,P循环基因的组成存在显著差异。总的来说,除了第3-4阶段外,根际和大块土壤中P循环基因的绝对丰度相似。根际土壤中PO矿化和polyP水解基因丰度随演替阶段的增加而降低,而块状土壤中PO矿化和polyP水解基因丰度随演替阶段的增加呈抛物线型变化。具体而言,在第3阶段的块状土壤和第4阶段的根际土壤中,PO矿化(phnK、phd)、Pi增溶和polyP生物合成的基因丰度更高。

图6 细菌磷循环功能基因沿时间序列和参考位点的演替模式
4、细菌群落结构和磷循环基因与土壤磷含量的相关性
我们使用Mantel检验来破译细菌群落组成和磷循环潜力(PO矿化和polyP水解基因的绝对丰度)与土壤P组分之间的关系(图7)。在根际和块状土壤中,我们观察到群落组成与土壤P组分(包括TP、ASP、PO和Pi)之间存在显著相关性(Mantel’s P < 0.01)。而根际土壤中磷循环基因丰度仅与PO和Pi呈显著相关(Mantel’s P < 0.05)。根际土壤PO矿化基因丰度与土壤有机碳、MBC和BG + CBH呈显著相关(Mantel’s P < 0.05),而块状土壤PO矿化基因丰度与土壤有机碳、MBC和BG + CBH呈显著相关(P < 0.05)。分类群-基因-磷网络显示,土壤磷含量与细菌分类群相关,而不是与磷循环基因相关(图6a)。在根际和块状土壤中,在演替过程中,网络中的节点数和连接数都在减少,细菌类群与土壤磷组分的相关性在根际土壤中强于块状土壤(中间阶段除外)。此外,我们观察到细菌分类群与PO在中后期有显著的相关性。随机森林分析表明,PO和细菌群落组成(尤其是Actinobacteria、Verrucomicrobia、Acidobacteria、Gammaproteobacteria、Bacteroidia和Deltaproteobacteria)是ASP变化的良好预测因子(图8)。此外,我们发现与P循环基因相关的细菌类群在块状土壤中比在根际土壤中更多,并且类群-基因共发生网络中的链接和节点数量随着演替而减少。Proteobacteria、Acidobacteria和Plantomyetes等细菌群落与PO矿化、Pi溶解、polyP水解和生物合成基因密切相关。
图7 根际(a)和块状(b)土壤中细菌群落组成、PO矿化和polyP水解基因丰度与土壤理化生化特性的相关性
图8 原生演替过程中细菌群落和磷循环基因与土壤磷组分共现网络的可视化以及土壤有效磷的潜在驱动因素
结论:
本研究表明细菌群落结构在冰川退缩后启动土壤P循环中起着至关重要的作用。在富磷高寒土壤中,无论演替阶段如何,细菌对PO矿化的高潜力可能更多地是由于细菌对C的需求而不是对P的需求。这些发现从功能角度提出了富磷土壤中PO矿化是一个双元素(C和P)生物矿化过程的概念。此外,细菌分类中丰度和功能成分主要控制土壤磷周转,尽管它们动员磷的能力随着土壤磷的耗竭而下降。在全球变暖和人为干扰加剧的背景下,该研究对理解细菌群落在早期生态演替中的作用以及管理微生物资源以恢复富磷退化生态系统具有重要意义。此外,研究结果强调了将注意力转向冰川退缩后新兴生态系统中微生物介导的C和P耦合动力学的重要性,这可能会加速全球冰川前期土壤有机质的退化。
Copyright © 2025 成都生物科技有限公司 All Rights Reserved. 蜀ICP备2025146839号 XML地图
技术支持:网站模板