联系人:王经理
手 机:18700885303
电 话:18700885303
地 址:商务中心:陕西省西安市长安区郭杜街办居安路899号;实验中心:陕西省杨凌区众创田园创新创业园

摘要:
土壤碳(C)储存是支撑人类健康和福祉的关键生态系统功能。人类驱动的土地利用变化加速,如农业集约化,是全球土壤C流失的主要驱动因素。制定可持续土地利用方式,提高农业生产力,同时保护土壤C储存等基本生态系统功能,这一点至关重要。土壤微生物群在调节土壤生物地球化学循环过程中具有重要作用,其中包括土壤C循环。研究土地利用强度对土壤微生物组的影响使我们能够评估对长期土壤C储量的潜在影响。利用宏基因组DNA测序和磷脂脂肪酸分析,研究了五种不同土地利用方式在农业景观中土壤微生物组活性、多样性和功能的差异。土地利用覆盖了扰动强度的梯度,包括残余原生林、再生原生林、外来人工林、旱地牧场和灌溉牧场。发现了与每种土地利用相关的土壤微生物组的显著差异,包括微生物C和氮(N)循环基因的多样性和丰度。集约化农用地的微生物C降解基因多样性和丰度显著高于集约化农用地,而剩余原生林用地的微生物C降解基因多样性和丰度最低。研究结果表明,集约化农业用地可能会增加土壤微生物组矿化土壤C的功能潜力,从而可能导致土壤C随着吸入的二氧化碳而更多地流失到大气中。这项研究可用于支持可持续管理实践的发展,以促进土壤C在农业景观中的持久性,例如保护残余的原生森林碎片和更多地纳入再生的原生植被。
研究背景:
土壤提供对人类和环境需求至关重要的多种生态系统服务,如提供食物和纤维、水过滤和净化、洪水缓解、养分循环和温室气体调节。然而,土壤是一种有限的资源,在人类时间尺度上是不可再生的,并且受到生产力需求提高、人口增长加速、工业化、城市化、农业集约化和土地利用变化的更大压力。这些压力源对土壤健康的影响被认为是一个重大的全球问题,联合国已经制定了一项具体的可持续发展目标,重点是恢复退化的土地和土壤。受土壤退化影响的一个关键土壤功能是土壤碳固存,指的是植物或其他生物将大气中的二氧化碳(CO2)捕获到土壤中,并以土壤有机碳的形式储存起来。土壤碳的长期储存是调节全球碳循环的基础,土壤储存了地球上大部分陆地碳储量(约80%)。认真管理全球土壤碳储量,使其发挥长期净碳汇的作用,是调节人为二氧化碳排放增加和减轻气候变化影响的一项关键战略。
人为驱动的土地利用变化——这里指的是土地利用的变化和与改良土地利用相关的管理实践(即人工施肥、灌溉、放牧),可导致生态系统水文过程、植物和根系生物量、生物多样性、营养平衡、干扰制度和小气候条件。这可能导致生态系统性质的根本变化,从而改变土壤C输入和输出之间的平衡,导致土壤C储量的大小和长期稳定性下降。农业用地是全球土壤碳流失的主要驱动因素、生物多样性下降和温室气体排放源。矛盾的是,旨在提高土壤生产力的农业集约化导致全球土壤C储量和土壤生物多样性枯竭,从而降低了土壤肥力和生产力。这反过来又加剧了对全球粮食安全和经济稳定的威胁。尽管集约化农业生态系统对环境的影响是巨大的,但对农业生产力的需求正在上升。到2050年,世界人口预计将达到97亿,全球粮食需求将至少增加35%。与此同时,土地利用也在改变,以提供能源,这一直被认为是一个有问题的净低碳结果。
了解农业用地对土壤C循环的影响对于制定可持续土地利用做法至关重要,这些做法可以提高土壤生产力,同时最大限度地减少人类活动对环境的有害影响。为了进行综合评估,研究土地利用强度如何驱动土壤微生物群结构和功能的变化是至关重要的。土壤微生物对土壤C的分解有重要影响,并负责土壤有机质的矿化。土壤微生物组的多样性和代谢活性是决定土壤碳周转速度和随之释放的二氧化碳的关键因素。与此同时,细胞死亡后微生物坏死块的积累是土壤C储量更耐分解的主要驱动因素。考虑到土壤微生物组的功能二元性,土壤微生物生态生理特性随土地利用变化的变化可以直接影响土壤C的通量和土壤C库的长期持久性。与监测植物群落或土壤非生物特性相比,土壤微生物可以更快地适应环境变化和压力,作为监测土壤健康的更敏感的生物指标。
本研究旨在探讨不同土地利用方式和干扰强度对农业景观土壤C循环动态和土壤微生物群结构与功能的影响。选择了五个土地利用类别进行调查,涵盖了从“低”到“高”土地利用强度的扰动梯度。这些土地用途,包括残余原生林、再生原生林、外来人工林、旱地牧场和灌溉牧场。分析了不同土地利用方式对土壤理化、土壤C含量、土壤微生物群结构和功能的影响。当考虑与土地利用方式改变相关的植物群落覆盖、管理方式和干扰强度的大规模变化时,假设:1)集约土地利用方式越密集,土壤C含量越低;2)土壤微生物生物量和基础呼吸在不同土地利用方式之间存在显著差异;3)不同土地利用方式之间微生物功能基因的多样性、组成和丰度存在显著差异。
研究方法:
采样地点位于Kaituna和Prices Valley。在对整个地区进行实地调查后,针对土地利用变化历史和管理制度的五个土地利用类别进行了调查(图1)。土地利用类别涵盖了从“低”到“高”强度的扰动梯度,包括:1)原生森林;2)再生原生灌木(再生林);3)外来松林(外来人工林);4)不灌溉的羊奶牧场(旱地牧场);5)枢纽灌溉的羊和奶牛牧场(灌溉牧场)。每个土地利用类别的重复场址数目(n)因可得性和可及性而异(原生森林和外来森林n = 3;灌溉牧草、旱地牧草和再生灌木N = 5)。为了在统计分析中考虑景观地形的变化,每个站点的坡度角是从8米数字高程模型(LINZ Data Service)中提取的。根据坡度角度划分坡度等级如下:低坡度,1至12°;中等坡度,13至25°;坡度高,超过25°。土壤取样于2022年6月至7月进行。在每个站点,在5平方米网格的中心和四个角标记出五个采样点。在每个采样点,去除凋落物层,收集4个土芯至10 cm深度(A层),并组合成500 g复合样品。每个站点采集5个土壤样本;其中三份用于化学和生物分析,两份用于未来研究。回到实验室后,土壤过2毫米筛,子样品被储存在−20℃或4℃,用于后续分析。

图1 采样地
主要研究结果:
1、土壤物理化学性质
土地利用是pH、有效磷、水分含量(%)、C/N比、AMN/TN比、总%C和基础呼吸差异的重要因素(表1)。不同土地利用类别之间,不稳定C和总%N无显著差异。虽然土地利用显著地解释了不同地点之间有效磷和基础呼吸的差异,但在土地利用类别之间没有发现显著的两两差异(图2)。
表1 土壤理化性质、PLFA总生物量、BR/MB比和PLFA微生物群相对丰度的固定效应的线性混合效应模型偏差表

总%C值以再生灌木最高(5.31±0.94),其次为原生林(4.97±1.32)、外来林(4.43±1.72)、灌溉林(4.10±0.67)和旱地草地(3.39±0.74)。尽管总%C随土地利用类型的不同而有显著差异,但只有旱地草地和再生灌木具有显著差异(图2)。总%C的值与不稳定C、总%N、C/N比和基础呼吸具有显著的正相关(Spearman’s rho≥0.5);同时也与%Gram-P和%放线菌具有显著的负相关(Spearman 's rho≤- 0.5)(图3)。
与其他土地利用方式相比,外来森林土壤的pH值、氨氮/总氮比、水分含量、有效磷和基础呼吸值最低(图2)。相反,外来森林土壤的碳氮比最高,尤其是与灌溉和旱地牧场相比。与外来森林一样,再生灌木土壤的水分含量非常低,AMN/TN比低,C/N比高(图2)。再生灌木土壤的总%C和基础呼吸值最高。与外来森林和再生灌木土壤一样,原生森林土壤的C/N比也很高。此外,原生森林土壤的水分含量、氨氮/全氮比和pH值最高。灌溉草地土壤的水分含量、氨氮/全氮比和pH与原生森林相似(图2)。
与原始森林不同,灌溉草地土壤的C/N比非常低,是所有土地利用类别中最低的。同样,旱地牧场土壤的C/N比也非常低,总%C和基础呼吸也最低(图2)。灌溉牧场和旱地牧场的有效P值都很高,旱地牧场的有效P值尤其高。旱地牧场的有效P表现出很大程度的组内变化,这可能是两两检验中发现不同土地利用方式之间具有非统计显著性的原因。在不同的草场上观察到的高组内有效磷变化可能是一种管理效应,即不同领域人工肥料投入差异的标志。

图2 pH、Olsen P、水分含量、总C、活性C、全N、C/N比、AMN/TN比和基础呼吸的平均±95% CI值。没有相同字母的组在5%显著性水平上通过Tukey检验确定显着差异。

图3 土壤性质与总%C含量相关性分析。
2、磷脂脂肪酸谱
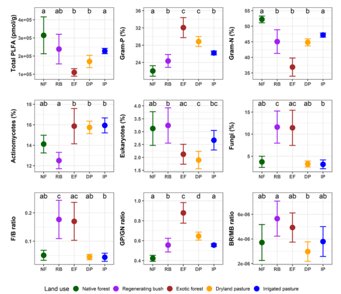
外来森林土壤的总PLFA生物量(“微生物生物量”)最低,与原生森林、灌溉牧场和再生灌木相比尤其低(图4)。然而,与所有其他土地利用相比,外来森林土壤的真菌、F/B比率和放线菌的百分比也非常高。原生森林土壤具有最高的微生物生物量,同时也具有最低的% Gram-P和GP/ GN比率(图4)。
此外,原生森林土壤具有较低的真菌百分比和较低的F/B比率,与观察到的放牧和灌溉牧场相同。在所有土地利用中,再生灌木土壤的微生物生物量第二高,BR/MB比最高,特别是与旱地牧场相比。此外,再生灌木土壤的真菌和F/B比非常高,真核生物百分比最高,同时放线菌百分比最低。灌溉草地的一个显著特征是真菌百分比和F/B比较低,这在原生森林和旱地牧场中表现出相似的值(图4)。灌溉牧场土壤的放线菌百分比最高,与旱地牧场和外来森林的放线菌百分比相同。灌溉牧草的微生物生物量和% Gram-N也显著高于外来森林和旱地牧草;同时GP/GN比和%Gram-P显著降低。与其他土地利用方式相比,灌溉草地土壤的微生物生物量、GP/GN比、% Gram-P、% Gram-N、%真核生物和BR/MB比处于中值范围。旱地牧场土壤的微生物生物量次之,BR/MB比和%真核生物也最低。此外,与灌溉草地和原生林一样,旱地草地的真菌和F/B比也很低,放线菌的比例很高。旱地牧草的GP/GN比和% Gram-N均高于灌溉牧草、原生林和更新灌丛。
% Gram-N与土壤pH、AMN/TN比和水分含量呈显著正相关(表2)。% Gram-P与AMN/TN比、总%N和基础呼吸呈显著负相关。GP/GN比与pH、AMN/TN比、水分含量和基础呼吸呈显著负相关。%放线菌与总%C、C/N比、F/B与C/N呈显著正相关,与含水率呈显著负相关。真菌%与AMN/TN、水分含量呈显著负相关,与C/N呈显著正相关。

图4 各土地利用方式下PLFA总生物量、PLFA生物标志物组%丰度和BR/MB比值的平均值±95% CI值。
表2 土壤性质与PLFA微生物群丰度之间的Spearman秩相关系数。
3、原核生物宏基因组组装基因组(MAGs)的恢复
所有MAGs的平均基因组完整性和污染程度分别为84.1%和2.8%(图5)。不同土地利用的MAG平均估计基因组大小(3.32 Mbp)几乎没有变化,其值从原生森林的2.79 Mbp到灌溉牧场的3.54 Mbp。所有MAGs的平均N50组大小为0.02 Mbp。原始森林的平均值为0.012 Mbp,外来森林的平均值为0.023 Mbp。

图5 采用质量统计的平均值±SD值评价每一土地利用中恢复的原核生物MAGs
4、微生物功能基因的多样性
C降解基因的Chao1丰富度和Shannon多样性在不同土地利用类型间存在显著差异。原生森林和再生灌木土壤C退化基因的Chao1丰富度显著低于灌溉和旱地牧场土壤(图6)。此外,原生森林土壤C退化基因的Shannon多样性显著低于其他土地利用;在不同土地利用方式下,氮循环基因的Chao1丰富度和Shannon多样性均无显著差异。土壤理化性质与C降解和N循环基因的Chao1丰富度和Shannon多样性没有明显的相关性(表3)。
原生森林土壤的C降解基因和N循环基因组成与其他四种土地利用方式有显著差异(图7)。此外,外来森林和再生灌木土壤的C降解基因组成与灌溉牧草相比也有显著差异。灌溉草地和旱地草地氮素循环基因组成与外来林、更新灌丛和原生林有显著差异。灌溉草地与旱地草地、再生灌丛与外来林的C降解和N循环基因组成无显著差异。
图6 各土地利用类型C循环基因和N循环基因的Chao1丰富度和Shannon多样性的平均值±95% CI值。
图7 各土地利用类型C循环基因和N循环基因的NMDS图
表3 土壤性质与微生物C降解基因和微生物N循环基因α多样性之间的Spearman秩相关系数。
5、微生物功能基因的差异丰度分析
所有C降解基因的总丰度在不同土地利用方式间差异显著。原始森林土壤有显著降低大量的C降解基因相比,所有其他四个土地使用(图8)。没有共享的土壤理化性质很强的相关性与C降解基因的丰度。当C降解基因分组根据C形式,有显著差异基因的丰度与纤维素的降解,半纤维素,内半纤维素、几丁质和淀粉。与其他土地利用方式相比,原始森林土壤中所有这些C形态的基因丰度较低。虽然不显著,但与其他三种土地利用相比,再生灌木和外来森林的几种硝酸盐还原基因(即narH,napA,napB),亚硝酸盐还原基因(即nirK)和氨氧化基因(即amoA,amoB)的丰度较低(图9)。

图8 按土壤C形态分组的土地利用C循环基因归一化对数丰度的平均值±SE值。
图9 按N循环途径分组的不同土地利用方式N循环基因归一化对数丰度的平均值±SE值。
6、随机森林分类模型
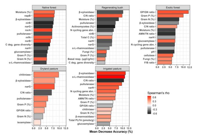
该模型的分类准确率为0.95(kappa统计量为0.93)。不同土地利用类型的分类精度分别为:原生林100%、更新灌丛96.7%、灌溉牧草100%、旱地牧草100%、外来林75%。原生森林土壤的主要分类特征为高含水量(8.15%)、高基因丰度(7.99%,硝酸盐还原)、nxrA (7.17%;亚硝酸盐氧化),nxrB(6.57%;亚硝酸盐氧化)和nrfA(7.10%;narG(7.41%)和nirB(7.67%)基因丰度较低;C降解基因如β-木糖苷酶(7.77%;半纤维素降解)和支链淀粉酶(7.14%;淀粉降解)。高碳氮比和低含水率分别占8.47%和9.84%,是灌木再生土壤分类的关键特征。再生灌木土壤的其他主要特征包括β-木糖苷酶丰度较低(10.16%;半纤维素降解),支链淀粉酶(7.23%;淀粉降解);%放线菌(7.08%)和N循环基因(6.50%)。外来森林土壤最显著的特征是高GP/GN(12.07%)、高% Gram-P(10.05%)、高C/N(7.59%)、低土壤水分和AMN/ TN(6.94%和6.93%)(图10)。几丁质降解,β-木糖苷酶(8.26%;半纤维素降解),narG(8.07%;低C/N(6.99%)的预测精度最高。同样,低C/N(10.47%)的预测精度较高,β-木糖苷酶基因丰度较高(10.87%;内半纤维素降解),支链淀粉酶(9.71%;淀粉降解),narH (8.51%;硝酸盐还原)。

图10 平均降低精度(MDA)最高的前15种土壤性质(%)。
结论:
土地利用强度的变化在农业景观中产生了土壤微生物功能基因的多样性和组成的显著变化。值得注意的是,农业用地强度与微生物c降解基因的多样性和丰度显著增加相关。残余原生林和再生原生林的土壤微生物C降解基因多样性和丰度最低,土壤C含量最高。这表明,与农业用地相关的土壤微生物群可能具有增加的矿化土壤C的功能能力,这可能导致土壤C随着吸入二氧化碳而更多地流失到大气中。制定可持续的土地利用做法,最大限度地减少土壤C的流失,促进土壤C库的持久性,是提高土壤生产力和减轻气候变化影响的重要工具。本研究结果可用于支持旨在增强土壤C库在农业景观中的持久性的土地管理决策,例如保护剩余的原生森林碎片和更多地纳入再生的原生植被。
Copyright © 2025 成都生物科技有限公司 All Rights Reserved. 蜀ICP备2025146839号 XML地图
技术支持:网站模板