您好,欢迎访问成都怡康特生物科技有限公司
公司动态
您的位置:首页>公司动态

公司动态

联系我们

陕西佰瑞斯生物科技有限公司

联系人:王经理
手 机:18700885303
电 话:18700885303
地 址:商务中心:陕西省西安市长安区郭杜街办居安路899号;实验中心:陕西省杨凌区众创田园创新创业园

文献解读:岩石风化作用的增强增加了土壤磷的有效性,改变了根系磷的获取策略

发布时间:2024-06-18人气:436

摘要:

增强岩石风化(ERW)被认为是提高土壤固碳潜力和肥力的一种措施。增强岩石风化对土壤磷库的影响以及影响微生物磷循环和植物磷吸收的机制尚不清楚。通过在热带橡胶林2年的硅灰石田间添加试验,探讨了ERW对土壤磷有效性、微生物磷循环官能团和根系磷获取性状的影响。结果表明,ERW通过促进根际羧酸盐和磷酸酶活化和矿化有机磷,显著提高了土壤微生物的碳利用效率和全磷含量,并间接提高了土壤磷有效性。此外,ERW还刺激了磷增溶酶(gcdppappx)和矿化酶(phoADNphnAPHLFXIM)的活性,从而促进了无机磷的增溶和有机磷的矿化。随着土壤磷有效性的提高,橡胶细根的磷获取策略由根自身获取向依赖菌根协同作用和根系分泌物释放转变。此外,ERW对根系磷获取性状(如根径、比根长和菌根定植率)的直接影响也可能与植物地下碳投入模式的变化有关。综上,ERW增加了热带森林的固碳潜力和磷有效性,并显著影响了地下植物资源利用策略。

研究背景:

气候变暖是目前影响人类的主要环境挑战之一,它与大气中二氧化碳(CO2)浓度的增加密不可分。科学家们提出了一系列技术来吸收大气中的CO2,以减轻全球变暖的负面影响研究表明,增强的岩石风化(ERW)可以有效地从大气中去除CO2并将其储存在土壤中。具体来说,ERW是通过在土壤表面添加粉末状硅酸盐岩石(例如硅灰石、玄武岩和橄榄石)来实现的,在土壤表面,硅酸盐颗粒与溶解的CO2发生化学反应,形成碳酸氢盐离子。这些离子可以由河流输送到海洋,有可能被储存数千年或更长时间,这取决于碳酸钙沉积过程。迄今为止,ERW做法主要用于农业,较少用于林业,偶尔用于自然生态系统和正在恢复的生态系统。    

在热带或亚热带森林中,磷(P)等岩石来源的营养物质有效性较低,可能会限制二氧化碳升高对树木生物量生产的积极影响,并可能影响土壤中的微生物过程,可以影响地上和地下的碳(C)固存潜力。研究指出,微生物碳利用效率(CUE)与微生物P代谢限制之间强烈负相关,且在温带草原生态系统中尤为明显。微生物CUE也是全球土壤有机碳(SOC)变化的主要驱动因素,较高的CUE可能导致较高的SOC。因此,微生物CUE及其固碳效应与土壤磷库有着千丝万缕的联系。另一方面,ERW通过释放添加的矿物质中所含的磷、土壤pH、微生物CUE和磷酸酶活性的变化,影响植物和土壤微生物对磷的可利用性。ERW具有显著的P介导效应,但仍需在田间试验中进行验证。因此,ERW是否可以通过提高土壤微生物CUE来增加土壤磷素有效性?目前缺乏明确的证据。

在磷贫瘠地区,土壤无机磷和有机磷组分之间的生化转化对磷有效性和植物对磷的吸收有重要影响。这些转化包括风化、矿化、吸附和增溶过程。土壤溶液中的磷,在极低浓度(<10 μM)是植物容易获得的土壤磷的唯一来源,当它耗尽时,其他成分(特别是中溶性磷)的补充变得尤为重要。通过明确土壤磷组分和微生物转化过程(如有机磷矿化、无机磷增溶和吸附等),有助于了解土壤磷库的动态及其有效性。参与溶解无机磷的一个典型基因是gcd,它直接控制葡萄糖的氧化途径和周质空间的酸化。此外,含有编码酶基因的微生物,如碱性磷酸酶(phoD和phoA)、植酸酶(appA)和C- P裂解酶(phn),具有很强的矿化土壤中有机P化合物的能力。因此,通过将土壤微生物CUE与磷库转化及其基础微生物过程联系起来,可以阐明ERW如何通过增强土壤碳固存进一步影响土壤磷库动态及其有效性。

植物根系对磷的吸收和根系获取策略通常通过根系P获取特性来表征。这些性状通常包括菌根定植率、比根长(SRL)、根径(RD)和根际磷酸酶和羧酸盐。除了菌根真菌的细根和菌丝对无机磷的积极吸收外,根分泌的羧酸盐和磷酸酶对有机磷的动员和矿化是植物获取磷的最有效途径。事实上,在极低的磷有效性下,丛枝菌根共生通常受到抑制。目前,ERW对植物根系P-获取策略的潜在影响尚不清楚。

因此,本研究在中国西南部的热带橡胶林进行了为期2年的硅酸岩(硅灰石)添加田间试验。检验了以下假设:(1)ERW会增强土壤微生物的CUE和C固存;(2)ERW通过释放添加的矿物质中所含的磷而增加土壤全磷浓度,提高磷有效性主要基于间接效应,即通过影响根系P获取特性(如根系释放的羧酸盐和磷酸酶)和微生物P循环(如无机磷增溶、有机磷矿化);(3)ERW中的硅或其他矿物质可能会促进橡胶生长,因此对磷的需求超出了清除细根所能提供的水平,因此植物的磷获取策略转向依赖菌根协作。

材料与方法:

在中国西南地区的中国科学院西双版纳植物园橡胶园进行了硅灰石添加田间试验,共有9个样地(每个样地为20 m × 20 m),样地与样地之间间隔20 m。本试验包括三种硅灰石施用量:对照(无硅灰石添加,n = 3)、低硅灰石添加(2.5 t ha-1,相当于0.25 kg m-2, n = 3)和高硅灰石添加(5 t ha-1,相当于0.5 kg m-2, n = 3)。硅灰石粉通过撒播的方式均匀喷洒到森林地面一次,对照地块不添加任何物质。2年后采集植物和土壤样品。研究橡胶树的根生物量。细根采样采用根跟踪法,细根在0-20 cm的土壤剖面上去除,轻轻摇动,收集根系周围黏附松散的土壤(视为非根际土壤),紧附细根表面(<5 mm)的土壤视为根际土。因此,每个样地分别获得3个根际土、3个非根际土和3个根样。用于进行土壤和植物指标分析。分析了土壤磷分级、土壤磷功能基因、土壤碳利用效率、菌根定植等。同时,从每个植物样上取下8-10片完整的成熟叶片用于分析植物磷吸收。    

主要研究结果:

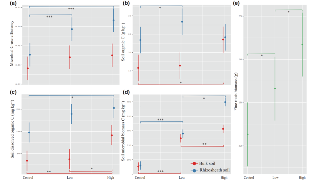
1、ERW对土壤土壤因子、微生物CUE和细根生物量的影响

与对照相比,硅灰石增加了有机碳浓度,低施量对根际有机碳的影响显著,高施量对根际有机碳的影响显著(图1)。高硅灰石处理的根际和非根际土壤溶解有机碳和微生物生物量C浓度均高于对照,其中微生物生物量C浓度比对照提高了至少80%。此外,添加硅灰石显著增加了根际土壤微生物CUE,添加硅灰石的细根生物量显著大于对照。

图1 采用线性混合效应模型比较不同硅灰石施用量下土壤微生物碳利用效率(a)、有机碳(b)、溶解有机碳(c)、土壤微生物生物量碳(d)和细根生物量(e)。

2、ERW对土壤磷含量的影响

添加硅灰石显著提高了橡胶林土壤磷有效性(图2)。具体来说,根际和非根际土壤中有效磷和次生矿物磷浓度随着硅灰石的添加而逐渐增加,而原生矿物磷浓度则相反。土壤有机磷在高硅灰石添加处理中明显大于对照组,而根际土壤中没有显著影响。在根际和非根际土壤中,高硅灰石添加量的总磷浓度均显著高于对照。    

图2 线性混合效应模型比较了不同硅灰石施用量对根际和非根际土壤磷含量(mg kg−1)的影响。

3、ERW对P-获取策略的影响

根磷获取性状对添加硅灰石的反应不同(图3)。具体而言,对照的根磷单酯酶活性、叶片[Mn]和RTD显著低于硅灰石处理(P < 0.01)。相比之下,对照中SRL和根全氮浓度最高。PCA显示了三种硅灰石添加浓度的多维根经济学谱。对照样品一般分布在第1轴“自己做”侧,说明未添加硅灰石的橡胶树更倾向于通过细根吸收P,而不是通过共生(SRL和面积更高)。硅灰石添加量较大的处理样品主要分布在第1轴的“外包”侧,菌根定植与叶片[Mn]和RPA之间存在较强的正相关关系,表明橡胶树不仅依赖菌根真菌的配合,还依赖根分泌物(即增强Po的动员和矿化)来吸收P。这些结果表明,硅灰石的添加改变了橡胶根的磷获取策略,即从细根自己吸收磷转向通过菌根伴侣和根渗出物获取磷。    

图3硅灰石添加对橡胶林根系功能性状及磷吸收策略的影响。

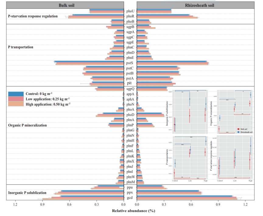
4、ERW对P循环功能微生物的影响

在宏基因组中共检测到37个参与磷溶化、磷矿化、磷转运和调控的功能基因,利用这些基因来确定微生物参与土壤磷循环的机制。结果显示,参与微生物磷增溶和磷转运的功能基因的丰度更高(图4)。参与磷增溶的三个关键基因(ppa, ppx, gcd)在添加硅灰石的根际和非根据和土壤中都更丰富(P < 0.05)。高硅灰石处理根际土壤中大部分磷矿化基因(如appA、phoADN、phnAPHLFXIM)和磷转运基因(ugpABCE和phnCDE)比对照更丰富。硅灰石添加过程中磷循环的基因丰度,根际土壤中除磷饥饿反应基因外,其余基因均比对照丰富。    

图4采用线性混合效应模型比较不同硅灰石施用量根际和非根际土壤中磷循环微生物功能基因丰度的差异

5、P利用的驱动因素

除土壤闭蓄态磷外,其余4个磷组分均与根系磷获取性状、磷循环功能基因和微生物CUE有很强的相关性(图5)。例如,有效磷和磷获取性状(如RP、RPA、[Mn]和RMC)与微生物磷循环功能群(如参与磷溶解、磷矿化和磷运输的基因)之间存在很强的相关性。同时,预测模型(解释了68.7%的变化)表明,上述因素也是影响磷可用性的最重要驱动因素。此外,PLS-PM分析显示,ERW主要通过影响根系磷获取特性和微生物磷循环间接增加土壤磷有效性。然而,在该模型中,微生物CUE的作用减弱了。这些结果表明,ERW通过促进根系分泌物(羧酸盐和磷酸单酯酶)的释放、根系性状(菌根定植和SRL)之间的协同作用以及微生物P循环(Pi增溶和Po矿化过程)提高了土壤P的有效性。    

图4 添加硅灰石处理下土壤土壤因子、根系磷获取性状、磷循环功能基因和微生物碳利用效率对土壤磷有效性的多重相关性的Mantel检验

结论:

本研究表明,ERW通过提高植物根际羧酸盐和磷酸酶对磷的动员和矿化,以及土壤磷循环微生物群落及其相关编码酶参与磷的溶解和矿化,提高了土壤微生物CUE和全磷浓度,提高了土壤磷的有效性。土壤全磷浓度及其有效性的增加伴随着热带橡胶林根系磷获取策略的响应性改变,即从细根获取逐渐转向依赖菌根真菌和根系分泌物的释放。结果进一步表明,ERW对植物根系P-获取性状(RD、RTD、SRL和RMC)有直接影响,这可能与植物地下C-资源分配模式的改变有关。研究表明,ERW可以显著提高热带森林土壤磷有效性,并调节根系的磷获取策略。因此,应考虑将其应用于热带生物质人工林系统中,以去除非生物CO2,稳定或提高土壤肥力。    



标签:

在线客服
服务热线

服务热线

18700885303

微信咨询
陕西佰瑞斯生物科技有限公司
返回顶部