联系人:王经理
手 机:18700885303
电 话:18700885303
地 址:商务中心:陕西省西安市长安区郭杜街办居安路899号;实验中心:陕西省杨凌区众创田园创新创业园

摘要:
气候变化和人类活动导致凋落物和根系投入物的质量和数量发生变化,可影响森林生态系统中的地下生物地球化学过程。然而,地上凋落物和根系投入是否以及在多大程度上影响土壤微生物代谢和养分限制机制尚不清楚。本研究通过4年的田间操作试验,设置对照(CK)、双凋落物输入(DL)、无凋落物(NL)、无根系(NR)和无投入(NI)处理,分析0-10 cm和10-20 cm土壤胞外酶活性和化学计量比特征,探讨微生物代谢限制,阐明制约养分限制的主要驱动因素。结果表明:DL处理与C循环相关的酶(β-1,4-葡萄糖苷酶(BG)、纤维素二糖水解酶(CBH))和N循环相关的酶(β-1,4-N-乙酰氨基葡萄糖苷酶(NAG)、亮氨酸氨基肽酶(LAP))活性显著高于NR处理;此外,与其他处理相比,磷循环相关的酶活性(酸性磷酸酶(AP))显著升高,在NR处理下活性最高。此外,不同碳输入对土壤微生物代谢限制没有显著影响,没有改变原有的养分限制格局。微生物养分代谢限制的主要驱动因素包括土壤理化性质、土壤全量养分和速效养分,其中土壤水分和pH对微生物C限制的影响最大,土壤全量养分对微生物N限制的影响最大。土壤碳输入的变化通过影响土壤理化性质、总养分等改变了土壤胞外酶活性及其化学计量比。本研究为认识环境变化下森林生态系统的物质循环提供了数据依据。
研究背景:
森林作为陆地生态系统的重要组成部分,对全球气候变化的响应非常敏感。环境变化(如全球变暖、降水增加和干旱)和人为干扰(如森林间伐和凋落物采伐)可显著影响森林的净初级生产力,从而改变土壤中凋落物和根系的数量和质量。森林土壤碳输入的变化影响全球碳和气候变化以及植被格局,尤其是地下生态过程中的养分循环。土壤微生物在地下生态过程中起着非常积极的作用。土壤胞外酶活性作为微生物养分需求和代谢过程的指标,可以用来描述微生物能量、养分需求以及土壤碳(C)、氮(N)和磷(P)的吸收和利用的变化,土壤酶化学计量比可用于确定微生物在能量和养分获取过程(如C、N、P)中的资源分配。因此,探索森林土壤胞外酶活性和化学计量比对凋落物和根系输入和分解的响应动态,有助于准确评估森林土壤地下生态过程对环境变化的响应。
土壤胞外酶介导有机质周转和养分循环,受凋落物、根系等外源有机质输入的影响,其影响程度与外源输入物质的质量和数量有关。以往的研究表明,土壤胞外酶活性对外源有机质的输入有不同的响应。例如,在双重凋落物处理下,亚热带针叶林的纤维素酶活性显著增加。双重凋落物可以为微生物提供丰富的底物,从而促进微生物的生长和活性。研究发现,去除凋落物会显著降低纤维素酶活性,主要是由于凋落物去除处理导致土壤活性有机碳减少。研究还发现,热带森林土壤在减少凋落物输入后,会增加磷限制和与磷循环相关的酶活性。这些研究表明,凋落物对土壤胞外酶活性的影响是一个复杂的过程,受多因素调控。此外,根系分泌物是土壤酶的重要来源,而刈割处理通常会导致土壤有机碳含量降低,从而影响土壤酶活性。研究发现,秋季亚热带森林采根显著降低了β-1,4-葡萄糖苷酶、β-1,4-N-乙酰氨基葡萄糖苷酶和酸性磷酸酶的活性。这些结果突出了对碳输入变化背景下土壤胞外酶活性调节的不确定性。因此,需要进一步研究凋落物和根系分泌物的输入对土壤酶活性和养分限制的影响。
土壤胞外酶化学计量学(EES)通常用于评价以C、N和P为代表的微生物代谢特征。这些土壤胞外酶通常被分类为“C获取”(如纤维素酶和葡萄糖苷酶)、“N获取”(如β-1,4-N-乙酰氨基葡萄糖苷酶、亮氨酸氨基肽酶)和“P获取酶”(如磷酸酶),可以反映土壤养分资源的有效性和微生物对养分需求的变化。凋落物的质量和数量可以改变森林土壤的养分状况,微生物通过调节土壤胞外酶化学计量来调节其生长对养分的利用。多项研究表明,土壤胞外酶活性化学计量比在凋落物添加后呈现凋落物去除率显著增加和凋落物去除率显著降低的趋势。研究主要集中在阔叶和落叶的热带和亚热带树种,它们的凋落物组成与针叶林不同。温带针叶林是否也有类似的反应模式?同时,植物根系释放出大量的有效养分,促进对养分短缺作出反应的微生物分泌胞外酶。这说明,不同地区凋落物和根系输入方式对森林土壤微生物代谢的影响存在不确定性。土壤胞外酶化学计量能反映土壤微生物群落对养分的需求和利用能力,与土壤养分循环、转化及其有效性相关,可用于衡量土壤微生物能量和养分资源的有限性。Moorhead等(2016)提出了绘制C:N和C:P获取酶活性的矢量图“长度”和“角度”,以说明微生物代谢特征。然而,在大多数生态系统中,对C的需求增长速度快于对N或P的需求,应用该方法可以帮助我们识别微生物代谢的局限性,为高寒森林生态系统土壤养分有效性和微生物养分限制的评价提供基础和扩展应用。
天山山脉是欧亚大陆腹地最大的山系。雪山云杉是天山地区最具优势的地带性森林植被,在固氮释氧、调节气候、保护生物多样性、维持生态系统稳定等方面发挥着至关重要的作用。该物种凋落物质量相对较低(C/N较高),根系较浅,凋落物输入和根系影响地下土壤微生物的营养限制尚不清楚。因此,本研究进行了为期4年的田间试验,探索该系统如何通过控制根系和植物残留物(DIRT)的输入来影响土壤微生物养分限制。提出了以下问题:(1)凋落物和根系哪种输入方式对土壤胞外酶的化学计量影响更大?(2)凋落物加减和断根处理是否会改变原有土壤微生物养分限制格局?(3)不同外源碳输入处理下土壤微生物代谢营养限制变化的主要驱动因素是什么?
材料与方法:
2017年9月,在云杉(Picea schrenkiana)森林中选取3个代表性样地,样地面积为50 m × 50 m,样地间距 >100 m。每个样地随机设置5个1 m × 1 m样地,共15个样地(3个样地× 5个处理)。试验处理如下,对照(CK):不作特殊处理,维持地上、地下正常投入。双凋落物(DL):每月清除凋落物处理收集的凋落物均匀分布于小区内。无凋落物(NL):第一步是在地块上方0.5米处放置一个100目尼龙网来收集凋落物。在此之后,每个月都会对小区内收集的地表凋落物和植被进行清理,以确保清洁和无残留物的环境。无根(NR):采用挖沟法排除根。沿着地块的四周挖了1米深的壕沟。根被切除并插入三层尼龙网,网目大小为100,防止根生长到地块。无投入(NI):该处理结合了根排除和凋落物清除两种处理(图1)。
经过研究四年的试验控制,于2021年10月使用土钻在垂直方向上收集土壤样本,深度为0-10厘米和10-20厘米。然后将样品密封在袋子中,去除植物根、动物和植物残留物以及其他杂质。测定土壤胞外酶活性和微生物生物量碳、氮、磷,以及土壤的物理化学性质。

图1 本研究地点及实验处理。
主要研究结果:
1、不同碳输入条件下土壤胞外酶的化学计量学特征
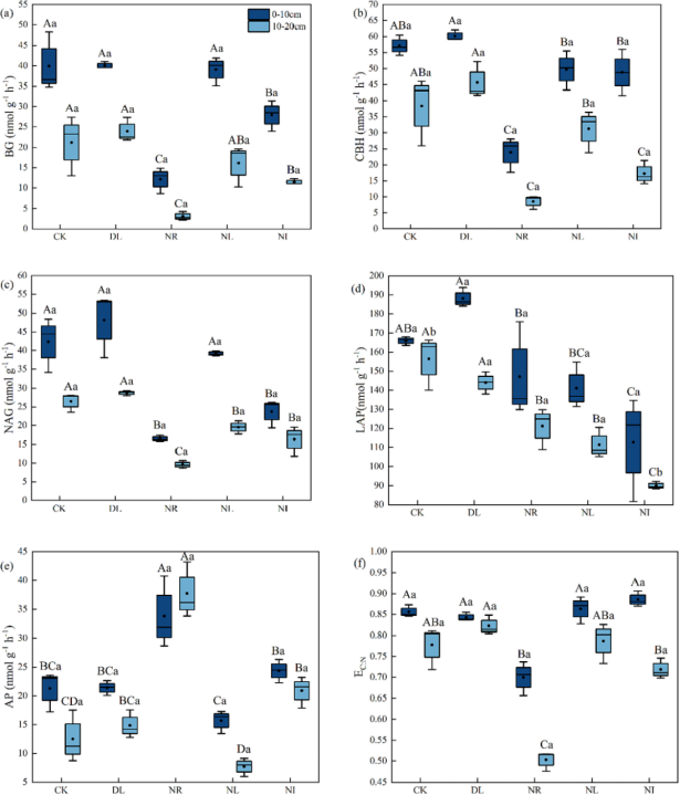
4年定位试验后,不同碳输入处理土壤胞外酶活性和化学计量比存在显著差异(图2)。各土层中β-1,4-葡萄糖苷酶(BG)、纤维素二糖水解酶(CBH)和β-1,4-N-乙酰氨基葡萄糖苷酶(NAG)活性以DL处理最高,且DL处理显著高于NL处理(P < 0.05);NR处理活性最低,且各值均显著低于CK处理。各土层亮氨酸氨基肽酶(LAP)活性均以DL处理最高,且显著高于NL处理(P < 0.05);NI处理的LAP活性最低,显著低于其他处理。NR处理各土层酸性磷酸酶(AP)活性显著高于其他处理(P < 0.05)。在各土层中,NR处理的EC:N、EC:P和EN:P最低。各土层中,NL处理的EC:P和EN:P最高,显著高于NR和NI处理(P < 0.05)。


图2 土壤胞外酶活性及其化学计量学特征
2、不同碳输入条件下土壤胞外酶化学计量的载体特征
不同碳输入处理和土层的土壤酶化学计量载体特征不同(图3)。所有点均在虚线下方(1:1线),表明土壤微生物群落具有很强的N限制。碳输入和土层对微生物代谢特征有显著的主交互作用(P < 0.01)。不同土层处理的载体长度(0.234-0.950)和角度(13.932°-28.395°)存在差异(P < 0.05),NL处理各土层下的载体长度(微生物C限制)最长,加剧了C限制,NR处理的载体长度最短,受C限制的影响最小。NI处理下各土层的载体角度(微生物N限制)最大,减缓了土壤微生物群落的N限制。基于(BG + CBH)/(NAG + LAP)和(BG + CBH)/AP比值关系,确定了CK、DL、NR、NL和NI处理在不同的碳输入处理中表现出总体的N限制。

图3 胞外酶化学计量学的C-N获取与C-P获取的相对比例(a),载体长度和角度的变化(b和c),以及它们之间的关系(d)。
3、酶活性和化学计量学与土壤性质和微生物生物量的相关性分析
土壤基本指标SWC(67.4%)、DOC(6.3%)和NH4+-N(5.2%)的箭头线最长,说明与其他因子相比,这3个理化因子更能解释土壤酶活性及其化学计量比的变化(图4)。BG、CBH、NAG、LAP、EC:N、EC:P与SWC、SOC、TN、TP及其比值相关。DOC、NH4+-N、NO3−-N在同一方向呈小角度长线正相关,在pH箭头相反方向呈负相关。AP活性与土壤pH呈正相关。在土壤微生物指标中,土壤MBP(45.5%)和CUE(11.2%)很好地解释了土壤酶活性及其化学计量比的变化(图4)。如CBH、NAG、LAP、EC:N与MBC、MBN、MBP、MBC:MBP、MBN:MBP呈极显著正相关。而与CUE、MBC:MBN呈负相关。AP与CUE、MBC: MBP呈正相关。载体长度与SWC、SOC、TN、SOC:TN、SOC:TP和NH4+-N呈极显著正相关(P < 0.01),与TP和TN:TP呈显著正相关(P < 0.05)(图5);矢量角度(N vs. P获取)与pH和TP呈正相关,但相关性不强。载体长度与MBC: MBN和CUE呈显著正相关(P < 0.05)。

图4 土壤胞外酶及其化学计量比与土壤性质和微生物生物量的冗余分析


图5 矢量长度和矢量角度与土壤特性和微生物生物量的相关性
4、土壤性质和微生物量对微生物代谢碳氮限制的影响
PLS-PM分析确定了土壤理化性质、总养分含量、养分比值、速效养分含量、微生物生物量、微生物生物量比和CUE对微生物C和N限制的直接和间接影响(图6)。土壤总养分含量(0.576)、养分比值(0.162)和速效养分含量(0.157)对微生物C限制有正向影响,其中总养分含量的直接影响最大(0.576),其次是土壤理化性质的负总影响最大(- 0.645)。此外,土壤理化性质(0.580)、总养分含量(1.785)和微生物生物量(1.112)对微生物N限制有正向影响,其中总养分含量(1.334)对微生物N限制有很强的正向总影响,速效养分含量(- 0.895)对微生物N限制有较大的直接负影响和总影响。

图6 利用偏最小二乘路径模型(PLS-PM)分析了影响微生物C和N代谢限制的可能途径
结论:
结果表明:不同碳输入和不同土层对干旱半干旱森林生态系统土壤活性、土壤理化性质及微生物养分限制有显著影响。土壤碳输入模式的变化导致土壤有机质数量和质量的差异,从而对土壤C、N循环相关酶活性产生总体影响,双凋落物处理(DL)显著高于无投入(NI)和无根处理(NR),但N循环相关LAP酶活性在不同土层下在无投入(NI)处理中最低。有趣的是,P循环相关酶的活性与C、N循环相关酶的活性相反,说明离体根系的活性显著高于其他处理,这是因为低浓度的N可以刺激森林土壤微生物加速磷酸酶的分泌,提高磷酸酶的活性。不同碳输入对土壤微生物代谢限制没有显著影响,没有改变原有的养分限制格局。微生物养分代谢限制的主要驱动因素包括土壤理化性质、土壤总养分含量和速效养分,其中土壤SWC和pH对微生物C限制影响最大,土壤总养分含量对微生物N限制影响最大。总体而言,微生物代谢限制反映了森林生态系统微生物对土壤环境变化的响应策略。本研究为评估外源有机质输入改变条件下温带森林生态系统碳、氮、磷和养分循环过程的动态提供了基础,有助于理解全球环境变化对土壤生物地球化学循环过程的影响。
Copyright © 2025 成都生物科技有限公司 All Rights Reserved. 蜀ICP备2025146839号 XML地图
技术支持:网站模板