联系人:王经理
手 机:18700885303
电 话:18700885303
地 址:商务中心:陕西省西安市长安区郭杜街办居安路899号;实验中心:陕西省杨凌区众创田园创新创业园

摘 要:
尽管集约化施肥对微生物群落具有广泛的影响,但其对土壤生态位中微生物再定殖、相关酶活性以及热点分布的影响仍未得到充分研究。通过土壤酶谱分析和高通量测序技术,研究了在灭菌和未灭菌土壤中,经过氮磷钾(NPK)配施后,水稻根际碳(C)、氮(N)和磷(P)获取相关水解酶的热点分布及其活性,以及细菌群落在活性热区、非活性热区和根内圈的动态变化。灭菌后,细菌群落的重新组装主要受生态位的影响,而非施肥作用;尽管施肥通过增加多样性和网络复杂性加速了细菌群落的恢复,但其影响相对较小。具体而言,在未灭菌的根际土壤中,编码水解酶基因的优势类群和主要贡献者由放线菌门(Actinomycetota)(K-策略者),转变为假单胞菌门(Pseudomonadota)和芽孢杆菌门(Bacillota)(r-策略者)。相比之下,根内圈群落在再定殖过程中表现出更强的恢复力,并可能通过扩大酶活性热区支持了水稻的生长。与非活性热区相比,热点区域中更高的酶活性与细菌网络复杂性的增加密切相关,而与多样性和整体群落组成的差异关系较小。施肥引发了酶活性与活性热点区之间的权衡与转变:β-葡萄糖苷酶(BG)和亮氨酸氨基肽酶(LAP)的活性增加,但活性热点区减少;而酸性磷酸酶(ACP)则呈现相反的趋势。酶活性与活性热点区面积之间的转变揭示了稻田土壤中养分活化的微观尺度空间异质性,表明植物和微生物用于调节养分投入的适应性策略。这些发现为优化施肥管理以加速微生物过程和酶介导的养分循环提供了宝贵的见解。
研究背景:
土壤中的微生物并非均匀分布,而是集中在空间上分布较小的热点区域,这些区域的底物可利用性比整个土块更高。热点区域,尤其是在根际,是易分解碳(C)输入促进土壤中微生物活性和碳周转的区域。相反,非活性热点区域是根际表现出微生物活性较低和物质转化速率较慢的微生境。理解这些活性热点区和非活性热点区中微生物动态的微观尺度分布和变异性,对于准确评估更广泛尺度上的元素循环和生态系统功能至关重要。在农业生态系统中,许多支持人类福祉的生态系统服务都与这些独特微环境中的微过程密切相关。例如,根际热点区域的扩张分别与添加秸秆和生物炭后r-策略和K-策略的微生物生长相关,从而导致根际中出现不同的养分活化策略。此外,活性热区的土壤有机质分解速率和基础呼吸速率高于非活性区域,这可能会导致二氧化碳排放增加,进而加剧气候变化。
土壤水解酶是养分循环和植物生长的关键调节因子,它们推动有机质分解为可供生物利用的养分,从而塑造土壤肥力和生态系统生产力。根据资源分配理论,在养分受限条件下,酶的产生通常会增加,而在养分充足时则会减少。这解释了在施用氮(N)和磷(P)肥后,参与N和P获取的水解酶活性降低的现象。然而,传统的氮磷钾(NPK)施肥可以增强农田土壤中与N和P获取相关的酶活性,这是由于在根际中植物与微生物对有限养分的激烈竞争所致。同样,C获取酶可能被上调,以产生支持土壤微生物和植物代谢需求的可溶性化合物。根际中可用养分的快速耗竭进一步促使微生物通过扩展酶活性的范围来获取额外的资源位点。尽管已有这些认识,但根际酶活性及其在NPK施肥下的空间分布(表现为活性热点区域)仍不甚明了,这限制了我们对土壤-植物连续体中微生物和植物对养分管理响应的准确预测。虽然微生物是根际酶的主要来源,但将酶热点与根际相关微生物群落(尤其是内圈微生物群落)联系起来的机制仍鲜有研究。鉴于根系在养分交换中的核心作用,内圈微生物群落可能影响养分吸收、根际分泌物的释放以及酶的产生。因此,整合根际和内圈微生物群落的研究对于理解它们对酶活性热点以及养分循环过程的协同影响至关重要。
另一方面,长期集约化农业实践,例如过量施肥,可能导致农业生态系统中微生物群落失衡和不稳定,通常会促进病原微生物的生长和/或那些与植物竞争养分的微生物。这种失衡会阻碍土壤中的养分循环,损害植物对养分的获取能力,并削弱其对病原体的抵抗力,最终降低植物生产力。土壤灭菌是一种能够消除或显著减少土壤微生物群落的过程,已在园艺领域中被用于改良微生物特性并促进植物生长。尽管由于其对所有土壤生物的非选择性灭杀,土壤灭菌在大范围农业应用中并不可行,但它可以为微生物动态和功能过程提供宝贵的见解。例如,灭菌后的再定殖可能导致具有不同丰度、活性和遗传多样性的独特微生物群落的形成;特别是种植在预先灭菌土壤中的作物(例如桃树、玉米和番茄)已被证明能够促进与氮固定和磷溶解相关的植物有益微生物功能。因此,尽管土壤灭菌在实际农业中并不可行,但它仍然是研究土壤-植物连续体中微生物群落构建和微生物介导过程(例如酶活性)的重要实验工具。
本研究通过水稻栽培实验,探讨了在灭菌(即高压灭菌)和未灭菌土壤中,不同生态位中微生物群落动态以及C、N和P获取水解酶的热点分布和活性如何响应NPK施肥。利用土壤酶谱分析技术识别了酶活性的活性热点区和非活性热点区,并通过高通量测序分析了其群落组成特征。研究假设,微生物群落在灭菌土壤中能够恢复并重新聚集,在土壤-植物连续体中形成活性热点区。因此,本研究旨在:1)揭示不同生态位(根际活性热区、非活性热区及根内圈)中细菌群落的重新组装及其对NPK施肥的响应;2)探索影响微生物恢复、酶活性及热点扩展的生物和非生物因素;3)研究NPK施肥下微观尺度上养分活化策略(根际酶活性与活性热点扩展)的变化。
研究方法:
本研究采用灭菌土壤(SS)和未灭菌土壤(NS),结合施用NPK肥料(+F)和不施肥(-F)的处理,设置了4个处理组合:NS-F、NS+F、SS-F、SS+F,种植植物为水稻,每个处理设6个重复,共24个实验根箱。在水稻生长45天后,测定不同处理下土壤基本理化性质、植物生物量、根际酶活性空间分布、土壤酶的动力学参数、细菌群落的组成多样性以及微生物共现网络分析。
主要研究结果:
通过土壤酶谱分析(图1),确定了根际土壤中三种水解酶的分布情况。与未施肥相比,无论土壤状态如何,施肥显著降低了亮氨酸氨基肽酶(LAP)和β-葡萄糖苷酶(BG)的活性热区(分别平均降低了31%-50%和10%-28%),但显著增加了酸性磷酸酶(ACP)的活性热区(19%-50%)(图1)。
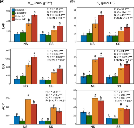
与未灭菌土壤相比,灭菌土壤中LAP(45%-61%)、BG(29%-44%)和ACP(26%-33%)的活性热区显著降低。施肥在根际活性热区和非活性热区均显著增加了LAP和BG的最大反应速度(Vmax,16%-47%)和米氏常数(Km,9.0%-46%),但降低了ACP的这些值(图2)。在活性热点区域,BG、LAP和ACP的Vmax值分别是非热点区域的2.7-3.9倍、1.5-2.9倍和3.0-5.6倍。
尽管根际活性热区与非活性热区在细菌群落组成或多样性上未显现出显著差异,但根际活性热区的酶活性显著超越了非活性热区。在水稻生长45 d后,NPK施肥增加了水稻根际土壤中LAP和BG的活性,但降低了它们在不同土壤状态下的活性热点区域面积(图2)。

图1. 在未灭菌和灭菌土壤中水稻根际LAP、BG和ACP的酶谱和活性热点示例(A)。通过二维方法评估的微型生态系统中活性热区面积相对于总土壤表面积的比例(B)。

图2. 未灭菌和灭菌土壤根际活性热区和非活性热区LAP、BG和ACP的Vmax(A)和Km(B)动力学参数
2. 土壤灭菌对细菌群落的影响
与未灭菌土壤相比,在灭菌土壤中细菌群落得以恢复,其α多样性显著降低,而β多样性显著增加(图3)。施肥降低了未灭菌土壤的丰富度和β-多样性,但提高了灭菌土壤的丰富度。α多样性在根际环境中高于根围(rootES),而β多样性则在根围中更高,且活性热区与非活性热区之间未表现出显著差异。总体而言,细菌群落组成存在显著差异,尤其是在不同生态位之间。在土壤-植物连续体中,细菌群落的构建主要受到生态位分隔的影响,而不是施肥和灭菌等环境因素(图3)。
优势门的相对丰度在不同生态位之间存在显著差异,蓝藻门(Cyanobacteria)在根围土壤中的相对丰度显著增加。在根际土壤中,假单胞菌门(Pseudomonadota)、芽孢杆菌门(Bacillota)以及其他门(例如,与未灭菌的土壤相比,灭菌土壤下的拟杆菌门(Bacteroidota)增加,而放线菌门(Actinomycetota)的相对丰度则有所下降。
细菌群落主要由Pseudomonadota(约占总丰度的38%)、Actinomycetota(约18%)、Cyanobacteria(约9.1%)和Bacillota(约8.2%)组成。但施肥对这些优势类群的影响不显著。在根际,优势细菌群落从K-策略(例如Actinomycetota)转化为灭菌土壤中的r-策略(Pseudomonadota和Bacillota)。

图3. 灭菌与未灭菌土壤根际和根际细菌群落结构。细菌α多样性包括丰富度(A)和Shannon(B)指数、β多样性(C)和基于Bray-Curtis距离矩阵的群落位置(D),细菌群落在门水平上的相对丰度(E)
3. 根际细菌群落的组成与功能
不同生态位之间鉴定出差异性OTUs(图4),在未灭菌土壤的根围土壤中富集了198个OTUs,而在灭菌土壤的根围土壤中富集了98个OTUs,这些OTUs大多属于Pseudomonadota和Actinomycetota。SourceTracker分析表明,在两种土壤状态下,活性热区和非活性热区之间的物种交换率都很高(89.4-94.1%)。
如图4所示,这些富集的OTU中,63个OTUs(总丰度的44-82%)在两种土壤状态下共享,主要属于Pseudomonadota和Cyanobacteria。植物生物量与这些共有的63个OTUs的相对丰度呈显著正相关,并且分别与其中的OTU4973(Rhizobium phaseoli,菜豆根瘤菌)、OTU2175(Ralstonia pickettii,皮氏罗尔斯通氏菌)和OTU5352(Sphin-gomonas mali,苹果鞘氨醇单胞菌)的相对丰度显著正相关。

图4. OTUs在根际活性热区和非活性热区以及未灭菌和灭菌土壤中的根内圈分布的三元图;在两种土壤状态(B)下富集在根内圈中的这些OTUs之间的共享OTUs;这些共有OTUs在门水平上的相对丰度(C);线性回归显示共享OTUs的相对丰度与植物生物量之间的显著相关性(D);以及共享OTUs内的三个特定OTUs与植物生物量之间的显著相关性(E)
4. 酶活性热点与微生物网络复杂性的关系
构建共现网络以探索两种土壤中不同生态位细菌群落的潜在关联。节点数量(网络尺寸)、边缘(网络连接性)和平均度(网络复杂性)在灭菌土壤下比在未灭菌土壤下降低(图5)。未灭菌土壤下施肥降低了这些特征,但在灭菌土壤下略有增加(rootES中除外)。活性热区通常展现出比非活性热区和根围土壤更高的网络连接性和复杂性。此外,无论土壤状态如何,根围土壤的网络鲁棒性最高,其次是活性热区,然后是非活性热区(图5)。
养分动员策略包括根际酶动力学(Vmax和Km)和活性热区的扩张(即活性热点区域面积)的细菌群落结构受土壤性质、细菌群落结构和共生网络特征的影响(图6)。
LAP和BG的活性热区通常随着土壤养分含量的增加(除速效钾外)而减少,并随着土壤pH的升高而增加;ACP的活性热区则随着土壤pH的升高而减少。此外,在未灭菌土壤中,细菌的α多样性通常随着土壤养分含量的增加而降低;在灭菌土壤中则随着土壤养分含量的增加而增加。酶活性和网络复杂性之间的相关性在灭菌土壤中比在未灭菌土壤中更强。
细菌门的相对丰度分别解释了未灭菌和灭菌土壤下酶动力学的48-63%和48-64%的变化。其中,未灭菌土壤中Bacteroidota、Cyanobacteria和Pseudomonadota的相对丰度与各酶的最大相对丰度相关性最强,而灭菌土壤中Bacteroidota、Pseudomonadota和Bacillota的相对丰度与各酶的最大相对丰度相关性最强(图6)。

图5. 未灭菌和灭菌土壤中根际活性热区和非活性热区以及根内圈细菌群落的共现网络(A);比较网络结构的节点数、边数和平均度(B);鲁棒性分析显示为保留的分类群的比例与从网络中随机移除的节点的比例之间的关系(C)

图6. 在未灭菌土壤(A)和灭菌土壤(B)中LAP、BG、ACP的酶动力学参数(Vmax和Km)的潜在驱动因素分析
结论:
本研究重新定殖于灭菌土壤中的细菌群落与未灭菌土壤中的细菌群落间存在显著差异,群落组成主要由生态位分隔而非NPK施肥决定。在两种土壤状态下,根内圈中共有的富集物种可能通过提供直接益处和扩展酶热点区域促进了水稻的生长。NPK施肥通过增加多样性和网络复杂性加速了细菌群落的恢复,这与其在未灭菌土壤中的负面影响形成对比。根际活性热区中更高的酶活性与细菌网络复杂性的增加密切相关,而非细菌群落组成的变化。此外,NPK施肥引发了酶活性与活性热区之间的权衡与转变:BG和LAP的活性增加,但活性热区减少;而ACP则呈现相反的趋势。这些模式表明,施肥后养分动员在微观尺度上具有高度的空间异质性,这可能是由于植物和微生物在土壤-植物连续体中调节养分投入的适应性策略所致。研究结果深化了对水稻土中根际酶热点本质的理解,强调了结合微观尺度养分异质性以优化微生物过程和酶介导的养分循环的重要性。
Copyright © 2025 成都生物科技有限公司 All Rights Reserved. 蜀ICP备2025146839号 XML地图
技术支持:网站模板