联系人:王经理
手 机:18700885303
电 话:18700885303
地 址:商务中心:陕西省西安市长安区郭杜街办居安路899号;实验中心:陕西省杨凌区众创田园创新创业园
Moderate salinity improves the availability of soil P by regulating P- cycling microbial communities in coastal wetlands
中等盐度通过调节滨海湿地磷循环微生物群落,提高了土壤磷的有效性
文章链接:https://doi.org/10.1111/gcb.16465
摘要:
海平面的加速上升将导致淡水湿地的盐碱化,但土壤磷(P)有效性和参与P循环的微生物基因对盐度的响应仍未被探索。本研究通过田间试验研究了盐度对滨海淡水和咸水湿地土壤微生物群落P循环的影响及其对P有效性的调节作用。结果发现,盐度与P有效性呈正相关,咸水湿地中稳定P浓度较高,中等稳定P浓度较低。咸水湿地参与P循环的微生物群落多样性和丰富度均高于淡水湿地。盐度显著改变了湿地P循环微生物群落的组成。宏基因组序列分析表明,沿海土壤中参与无机P溶解及其转运调控的功能基因更为丰富。大多数靶基因的相对丰度在不同湿地间差异显著,在咸水湿地中,P-溶解(gcd和ppa)和-矿化(phoD、phy和ugpQ)基因丰度较高,P-转运基因(pstB、ugpA、ugpB、ugpE和pit)丰度较低。不稳定P浓度与靶基因丰度呈显著正相关,表明盐度至少在一定程度上通过调节P循环微生物群落来提高P有效性。总之,本研究结果表明,微生物群落通过促进P增溶和矿化而对适度盐度的增加做出积极响应,微生物群落和微生物介导的P循环的变化可能代表了微生物适应盐度水平的策略,从而控制土壤功能和养分平衡。
研究背景:
滨海河口湿地是陆海交界的动态生态系统,在维持生物多样性和调节养分循环方面发挥着关键作用。在不同温室气体排放下,全球海平面上升,导致盐水流向淡水湿地。淡水湿地地表或地下水流盐碱化,对生态系统初级生产力、土壤有机质分解以及碳(C)、氮(N)和磷(P)循环产生重大影响。然而,大多数研究都集中在盐水入侵对C和N循环的影响,对盐度升高对土壤P转化的影响关注较少。了解全球变化情景下土壤P循环、微生物特征和环境驱动因素对于评估沿海生态系统中P的生物地球化学行为和维持P平衡至关重要。
P是所有生物不可缺少的营养元素,对维持生态系统的结构和功能起着至关重要的作用。土壤P通常以不同的组分存在,具有不同的有效性(不稳定P、中等不稳定P和稳定P)。此外,大量研究表明淡水和咸水环境的P有效性差异很大,初级生产力的主要限制养分从淡水中的P转移到咸水中的N。然而,以往关于影响土壤P有效性的主要因素的研究主要集中在非生物因素上,盐度影响下滨海湿地P循环微生物群落的时空分布及其关键机制尚不清楚,值得重视。
微生物群在调节土壤P循环和有效性方面发挥着关键且不同的作用,包括细菌和真菌在内的许多微生物可以溶解矿物磷酸盐,并将土壤P转化为对植物更具生物可利用性的形式,从而影响自然生态系统中的P组分和有效性。盐度升高可能强烈影响不同P循环微生物群落的组成和多样性,并通过调节土壤物理化学过程和微生物代谢来进一步影响P循环。虽然一些研究已经探究了盐度对参与P循环的基因的影响,但这些研究都集中在个体功能基因上。事实上,P的生物地球化学循环是由许多微生物基因驱动并调节植物的养分吸收。因此,更深入地了解盐度对土壤P循环和转化影响的机制需要对P循环微生物群落和P有效性进行更详细的分类探究。
为探究微生物调控土壤P有效性的遗传机制,基于宏基因组方法研究了河口淡水和咸水湿地中P循环微生物的分布和特征,并对持续的盐水入侵情景进行了预测。本研究的主要目的是:(1)确定盐度对土壤磷组分、磷有效性和环境驱动因素的影响;(2)阐明P循环微生物的丰度、多样性和组成对盐度增加的响应;(3)联系P循环功能基因与土壤P有效性,深入了解土壤微生物介导的P循环。
材料方法:
研究区位于中国东南部闽江河口,在河流排放和海洋潮汐的共同影响下,沿河口盐度梯度形成了两种最具代表性的湿地,淡水湿地和咸水湿地。采样分别在植物生长期(7月)和非生长期(1月)进行。采集土壤和植物样品,基于宏基因组方法研究了河口淡水和咸水湿地中P循环微生物的分布和特征。
主要研究结果:
1、 土壤P分级和P有效性
不同地点和季节的磷含量和有效性差异很大(图1)。具体而言,Resin-P的浓度为在咸水湿地显著高于在两个季节的淡水湿地,而NaOH-Pi和Residual-P浓度在咸水湿地显著低于在两个季节的淡水湿地(P<0.05)。在非生长季,淡水湿地的NaHCO3-Pi浓度高于咸水湿地,而NaHCO3-Po浓度低于咸水湿地。NaOH-Po和HCl-Pi浓度在不同地点和季节有显著差异(P<0.05)。NaOHs-Pi和NaOHs-Po的浓度在两个湿地间差异不显著,但季节间差异显著。在淡水湿地和咸水湿地中,P的主要形态均为Pi,占总P变化的67% ~ 78%。此外,两个地点P有效性总体趋势为稳定P > 中等不稳定P > 不稳定P(表1)。

图1 土壤磷组分随盐度和季节的变化
表1 淡水湿地与微咸湿地土壤磷有效度的差异

2、 参与P循环的微生物多样性和组成
本研究共检测到41个与土壤P的溶解、转运和调控有关的功能基因,这些基因可用于确定微生物调控土壤磷循环的遗传机制。咸水湿地土壤微生物群落多样性和丰富度(Shannon、Simpson和Chao1指数)均显著高于淡水湿地,且多数伴有明显的季节动态变化(图2)。盐度对湿地土壤磷循环基因的微生物群落组成(β-多样性)有显著影响。NMDS分析清楚地分离了微生物群落,淡水湿地的微生物基因组成比咸水湿地更为多样化(图3)。

图2 不同地点和季节P循环微生物群落多样性和丰富度

图3 基于Bray - Curtis距离的淡水和咸水湿地P循环微生物群落组成的非度量多维尺度排序
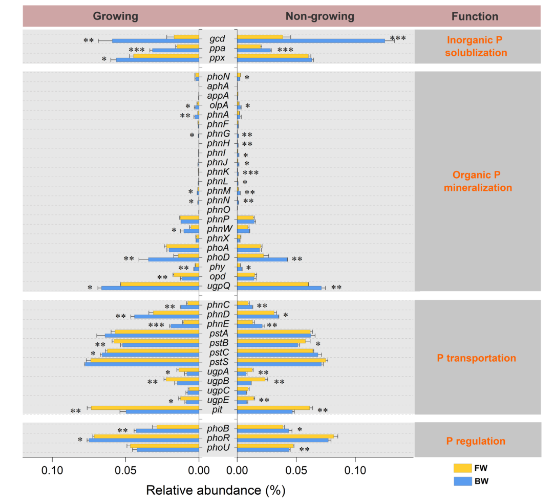
3、 P循环功能基因的相对丰度
参与微生物P溶解、转运和调控的功能基因是所有观察到的基因中最丰富的(图4)。咸水湿地的Pi-增溶基因相对丰度(gcd、ppa和ppx)显著升高。大部分Po-矿化基因(phnW、phoD、phy和upgQ)的相对丰度在淡水湿地和咸水湿地均较低,但在咸水湿地中高于淡水湿地。大多数参与P转运的基因(尤其是pstABCS)在湿地和季节中都非常丰富。

图4 P循环微生物基因相对丰度随地点和季节的差异
4、 P循环微生物群落的共生网络
通过分析共现网络来建立淡水湿地和咸水湿地P循环微生物群落之间的联系(图5)。与淡水湿地相比,咸水湿地的网络节点和边缘较少,分别为24 ~ 22和49 ~ 22,连通性、中心性和复杂性较低,分别为4.29 ~ 2.20、94 ~ 44和0.18 ~ 0.09。总体而言,咸水湿地的网络复杂性和稳定性低于淡水湿地。


图5 基于Spearman相关性的淡水(a)和咸水(b)湿地P功能基因水平上的微生物群落共现网络
5、 P循环微生物功能基因与土壤P有效性的关系
resin- P、residual- P和不稳定P的浓度与参与Pi溶解、Po矿化和P转化的基因丰度密切相关(图6)。两个湿地的不稳定P浓度与ppa、olpA、phnA、phoD、phy、ugpQ、phnC、phnD、phnE、phoB丰度呈显著正相关,与opd、pstB、ugpA、ugpB、ugpE、pit、phoU丰度呈显著负相关(P<0.05)。中等不稳定P浓度与phoN、pstB、ugpA、ugpB、ugpE、pit和phoU的丰度呈显著正相关,与gcd、ppa、olpA、phnG、phnL、phnM、phnN、phoD、phy、ugpQ、phnE和pstC的丰度呈显著负相关(P<0.05)。稳定P浓度与ppa、phnA、phnO、pstS、phoB丰度呈显著负相关,与opd丰度呈显著正相关(P<0.01)。结果表明,P循环微生物群落与P有效性之间存在密切联系。

图6 P循环微生物群落与土壤P有效性的关系
结论:
盐度通过调节参与P循环的功能基因的多样性和组成,强烈影响了淡水-咸水过渡下土壤微生物的分类和功能性状。靶基因在非生长季节的丰度较高,表明盐度对沿海生境微生物群落的驱动作用强于其他环境因素(如温度)。中等水平的盐度会增加大多数参与P溶解和P矿化的基因的丰度,但会降低参与P运输的基因的丰度。这将提高土壤P的有效性,并通过溶解或矿化不溶性P和动员可溶性P进一步改变区域磷收支平衡。
综上,这些发现拓宽了我们对微生物功能基因对湿地盐渍化反应的认识,有助于我们对未来盐水入侵情景下滨海湿地P循环和有效性的潜在机制进行预测性理解。
![]()
Copyright © 2025 成都生物科技有限公司 All Rights Reserved. 蜀ICP备2025146839号 XML地图
技术支持:网站模板