联系人:王经理
手 机:18700885303
电 话:18700885303
地 址:商务中心:陕西省西安市长安区郭杜街办居安路899号;实验中心:陕西省杨凌区众创田园创新创业园
Linking between soil properties, bacterial communities, enzyme activities, and soil organic carbon mineralization under ecological restoration in an alpine degraded grassland
生态恢复下高寒退化草地土壤性质、细菌群落、酶活性与土壤有机碳矿化的联系
摘要:
土壤有机碳矿化受生态恢复的影响,在土壤碳循环中起着重要作用。然而,生态恢复对有机碳矿化的影响机制尚不清楚。本研究采集了经过14年生态恢复的退化草地土壤,包括黄柳灌丛单独种植(SA)和黄柳灌丛+草混合种植(SG),极度退化草地进行自然恢复作为对照(CK)。研究了生态恢复对不同深度土壤有机碳矿化的影响,探讨了生物和非生物因素驱动有机碳矿化的作用机制。不同恢复方式及其与土壤深度的交互作用对土壤有机碳矿化具有显著的影响。与对照相比,在0 ~ 20 cm和20 ~ 40 cm土层,SA和SG增加了SOC的累积,降低了C矿化效率。随机森林分析表明,土壤深度、微生物生物量C、热水可萃取有机C和细菌群落组成是预测土壤有机碳矿化的重要指标。进一步通过结构方程模型表明,MBC、固C酶和C循环酶对有机碳矿化有积极影响。细菌群落组成通过控制微生物生物量和C循环酶活性来调节有机碳矿化。本研究结果揭示了土壤生物和非生物因子与有机碳矿化的关系,有助于理解高寒退化草地生态恢复对有机碳矿化的影响和机制。
研究背景:
青藏高原高寒草原约占中国草地面积的40%,是重要的生态屏障和碳汇。然而,由于人类干扰和气候变化,高寒草原的退化很普遍,导致生物多样性和土壤碳(C)储量的重大损失。生态恢复活动可以逆转土壤退化,减缓气候变化,抵抗生物多样性和生态系统服务的丧失。众所周知,生态恢复对土壤C库的影响取决于植物输入的C与微生物矿化流出的C之间的平衡。迄今为止,对高寒草原生态恢复如何影响有机碳矿化及其机制的理解远远落后于对有机碳储量的理解。因此,这不仅限制了我们对生态恢复对土壤C过程影响的预测,并且限制了我们对土地恢复管理措施的改进。
土壤理化性质是影响有机碳矿化的重要因素。土壤pH值通过改变微生物群落和酶活性来影响有机碳矿化。土壤养分有效性,如氮和磷,也可以通过影响微生物活动影响有机碳矿化。同时,微生物生物量碳(MBC)、易氧化碳(EOC)和热水可萃取碳(HWEOC)等不稳定的碳组分是决定有机碳矿化的微生物的主要碳源。因此,了解生态恢复条件下土壤理化性质和碳组分的变化及其与有机碳矿化的关系,可以提高我们准确预测土壤有机碳矿化的能力。
土壤微生物群构成了地球生物多样性的很大一部分,参与C固存、SOM分解和养分循环。因此,微生物群落的多样性、组成和潜在功能的任何变化都可能改变有机碳矿化的方向和程度。微生物胞外酶,特别是C循环酶在有机碳的分解和C组分的调节中也起着至关重要的作用。生态恢复可能通过调节凋落物输入的数量和质量的直接效应和通过改变土壤理化性质的间接效应影响微生物群落结构和酶活性。因此,不同生态修复模式下土壤的微生物群落结构和酶活性可能存在差异,从而导致有机碳矿化的差异。然而,目前关于不同生态修复模式下土壤理化性质、微生物群落组成和酶活性对有机碳矿化的综合影响的数据有限。
本文探讨了青藏高原退化草地生态恢复对有机碳矿化的影响及其与土壤理化性质、活性碳组分、酶活性和细菌群落的关系。本研究的主要目的是:(1)探讨14年生态恢复处理后土壤理化性质、活性碳组分、细菌群落和酶活性的变化;(2)明确生态恢复对有机碳矿化的影响;(3)揭示生态恢复条件下生物和非生物因素对有机碳矿化的相对重要性。
材料方法:
采集了经过14年生态恢复的退化草地土壤,处理包括黄柳灌丛单独种植(SA)、黄柳灌丛加草混合种植(SG)以及极度退化草地进行自然恢复作为对照(CK)。主要测定了土壤基本理化性质、土壤不稳定碳组分、土壤C循环相关酶活性(β-葡萄糖苷酶(BG)、β-D-纤维素苷酶(CBH)、过氧化物酶(POD)和多酚氧化酶(PPO))、土壤碳矿化、土壤细菌群落等。
主要研究结果:
1、土壤理化性质与不稳定C组分
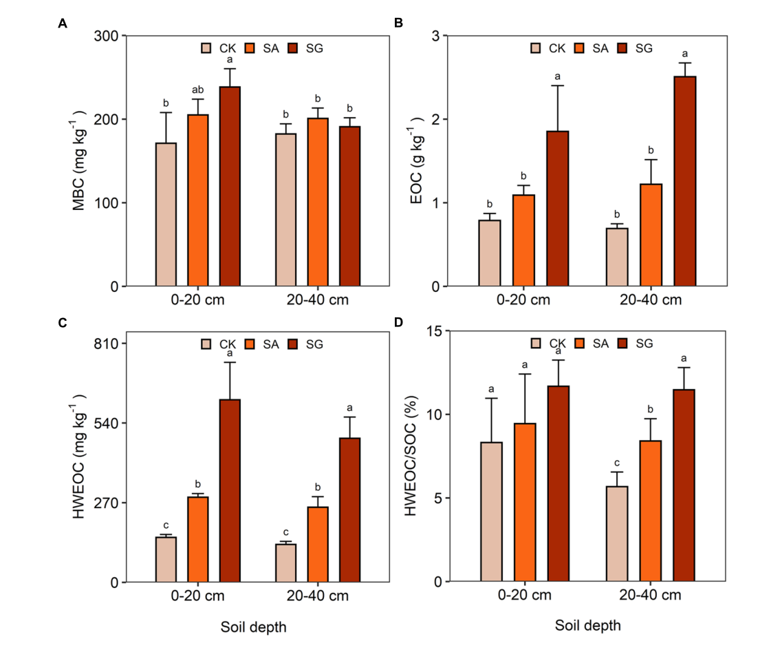
与CK相比,SA显著降低了0~20 cm和20~40 cm土层pH值(p < 0.05)。恢复模式对土壤有机碳、全氮和有机碳储量有显著影响(p < 0.001)。土壤有机碳含量、全氮含量和土壤有机碳储量依次为SG > SA > CK(表 1)。恢复方式对MBC、EOC、HWEOC和HWEOC/SOC均有显著影响。显著增加了0~20 cm土层的MBC、EOC和HWEOC含量(p < 0.05)(图1)。
表1 不同修复方式对不同深度土壤理化性质的影响


图1 不同修复方式对土壤活性碳组分的影响 (A) 微生物生物量碳(MBC),(B)易氧化碳(EOC),(C)热水可萃取有机碳(HWEOC),(D)热水可萃取有机碳与土壤有机碳之比(HWEOC/SOC)。
2、细菌群落的多样性和组成
修复方式对0 ~ 20 cm土层细菌Shannon指数有显著影响(p < 0.05)。在SG中,0-20 cm和20-40 cm土壤深度的Shannon指数平均值最高(图2)。细菌的Chao1指数随修复方式的不同有显著差异(p < 0.05)。与CK相比,SA和SG模式显著提高了0-20 cm和20-40 cm土壤深度的chao1指数(p < 0.05)。

图2不同修复方式对细菌α多样性的影响
与CK相比,SA和SG模式增加了变形菌门、酸杆菌门和拟杆菌门的相对丰度,但降低了0-20 cm和20-40 cm土壤深度放线菌门、绿菌门和Thaumarchaeota的相对丰度(图3)。

图3 不同恢复模式下细菌群落组成
PCoA分析表明,CK土壤细菌群落与SA和SG土壤细菌群落之间存在显著差异。Mantel检验表明,土壤pH、TN、EOC、HWEOC和HWEOC/SOC是影响细菌群落组成的关键土壤参数(图4)。

图4 (A)基于Bray-Curtis距离的细菌群落组成主坐标分析(PCoA)。(B)细菌群落随土壤性质变化的Mantel检验分析
PICRUST2分析表明,生态恢复显著提高了微生物对碳的固定和分解作用。固C基因(rbcL、meh、mct、ppc、IDH1和frdA)和C降解基因(csxA、glgX、malQ和PYG)在SA和SG中的相对丰度显著高于CK(图5)。

图5根据PICRUST2,生态恢复对参与C循环的功能基因相对丰度的影响
3、C循环酶活性
恢复模式对BG和CBH活性有显著影响(p < 0.05),但对PPO和POD活性无显著影响。与CK相比,SA和SG模式增加了0-20 cm和20-40 cm土壤深度BG和CBH的活性(图6)。

图6不同恢复模式对土壤碳循环酶活性(A)和木质素酶/纤维素酶比值(B)的影响
4、有机碳矿化
恢复方式对累积碳矿化有显著影响。与对照相比,SA模式下0-20 cm和20-40 cm土层的累积碳矿化量分别增加了15.7%和76.8%,SG模式下分别增加了94.0和83.1%。SG模式下CME低于CK模式(图7)。

图7生态恢复对(A)累积碳矿化和(B)碳矿化效率(CME)的影响
5、非生物和生物因素对有机碳矿化的贡献
通过随机森林模型和SEM模型探究了影响土壤有机碳矿化的主要因素。结果表明:土壤深度、MBC、HWEOC、细菌组成和有机碳是最重要的6个因子。SEM分析表明,土壤有机碳、MBC和C循环酶对累积碳矿化均有正向影响,而土壤深度对累积碳矿化有负向影响(p < 0.05)。土壤pH和有机碳对细菌组成有显著影响(p < 0.05)。细菌群落组成对MBC和C循环酶有显著的正向影响(p < 0.05)(图8)。

图8 (A)随机森林回归模型显示了有机碳矿化的主要影响因素。(B)土壤有机碳矿化对生态恢复的直接和间接影响的结构方程模型(SEM)分析
结论:
1、 生态恢复对土壤有机碳含量和储量、全氮、活性碳组分含量、纤维素酶活性和微生物多样性均有积极影响,而土壤pH值和木质素酶/纤维素酶比值降低。
2、 土壤pH、TN、EOC和HWOEC是影响细菌群落组成的主要因素。
3、 生态恢复增加了有机碳矿化,但降低了有机碳矿化效率。
4、 土壤有机碳、MBC和C循环酶活性对土壤有机碳矿化有积极影响。
5、 细菌群落组成可以通过提高微生物生物量和C循环酶活性来调节有机碳矿化。
综上,黄柳加草混合修复,土壤具有更好的有机碳积累、微生物多样性和功能,是恢复高寒退化草地的最佳模式。
Copyright © 2025 成都生物科技有限公司 All Rights Reserved. 蜀ICP备2025146839号 XML地图
技术支持:网站模板